Magna Concursos

Foram encontradas 195 questões.

2797659 Ano: 2023
Disciplina: Contabilidade Geral
Banca: FUNDATEC
Orgão: SIMAE-SC
Segundo Gitmann (2010), os fluxos de caixa da empresa podem ser divididos em fluxos operacionais, fluxos de investimentos e fluxos de financiamento. Sobre esses fluxos, analise as assertivas a seguir:
I. Os fluxos operacionais constituem as entradas e saídas de caixa diretamente relacionadas à venda e produção de bens e serviços.
II. Os fluxos de investimento provêm de transações financeiras com capital de terceiros (dívidas) ou capital próprio.
III. Os fluxos de financiamento representam os fluxos de caixa associados à compra e venda de ativo imobilizado e investimentos em participações societárias.
Quais estão corretas?
 

Provas

Questão presente nas seguintes provas
2797658 Ano: 2023
Disciplina: Contabilidade Geral
Banca: FUNDATEC
Orgão: SIMAE-SC
Com base em Gitman (2010), analise as seguintes assertivas relacionadas ao Valor Presente Líquido (VPL):
I. É considerada uma técnica sofisticada de orçamento de capital.
II. O valor presente líquido (VPL) é encontrado subtraindo-se o investimento inicial de um projeto do valor presente de suas entradas de caixa, descontadas à taxa de custo de capital da empresa.
III. A taxa especificada para encontrar o VPL é comumente chamada de taxa de desconto, retorno requerido, custo de capital ou custo de oportunidade.
IV. Quando usamos o VPL, o critério para aceitação do projeto é o VPL ser menor que R$ 0 (zero).
Quais estão corretas?
 

Provas

Questão presente nas seguintes provas
2797657 Ano: 2023
Disciplina: Contabilidade Geral
Banca: FUNDATEC
Orgão: SIMAE-SC
Segundo Gitman (2010) os períodos de payback são normalmente usados para avaliar propostas de investimentos de capital. Sendo assim, quanto tempo será necessário para Ricardo recuperar o investimento inicial de seu empreendimento no valor de R$ 150.000,00, se considerarmos os valores das receitas e das despesas previstas para os próximos seis anos, conforme demonstrativo abaixo: Enunciado 3570080-1

O tempo de retorno do investimento de Ricardo, com base no método do payback simples, será de quantos anos?
 

Provas

Questão presente nas seguintes provas
2797656 Ano: 2023
Disciplina: Contabilidade Geral
Banca: FUNDATEC
Orgão: SIMAE-SC
Gitman (2010) define que a liquidez diz respeito à solvência da posição financeira geral da empresa – a facilidade com que pode pagar suas contas em dia. Segundo o autor, o índice de liquidez corrente, um dos índices financeiros mais comumente citados, mede a capacidade da empresa de pagar suas obrigações de curto prazo. A empresa Soares e Cia. Ltda. apresentou os seguintes números do Balanço Patrimonial encerrado em 2022:
• Ativo Total: R$ 1.450.000,00; • Ativo Circulante: R$ 660.000,00; • Passivo e Patrimônio Líquido: R$ 1.450.000,00; • Passivo Circulante: R$ 150.000,00; • Patrimônio Líquido: R$ 1.300.000,00; • Lucro Operacional: R$ 290.000,00;
Sendo assim, calcule o índice de liquidez corrente da empresa Soares e Cia. Ltda. Para fins de cálculos, considere apenas duas casas depois da vírgula (sem arredondamentos). O índice de liquidez corrente da empresa Soares e Cia. Ltda., do ano de 2022, é:
 

Provas

Questão presente nas seguintes provas
2797655 Ano: 2023
Disciplina: Contabilidade Geral
Banca: FUNDATEC
Orgão: SIMAE-SC
Em Vieira Sobrinho (2023), a taxa que equaliza o valor presente de um ou mais pagamentos (saídas de caixa) com valor presente de um ou mais recebimentos (entradas de caixa), se denomina:
 

Provas

Questão presente nas seguintes provas
2797654 Ano: 2023
Disciplina: Contabilidade Geral
Banca: FUNDATEC
Orgão: SIMAE-SC
Para Vieira Sobrinho (2023), no mercado financeiro o desconto é considerado como sendo o abatimento que se faz no valor de um título de crédito quando o seu possuidor o negocia ou resgata antes do seu vencimento. Jorge Luiz está negociando com o banco o resgate de um título, no valor de R$ 10.000,00 (dez mil reais), cujo vencimento está previsto para 90 dias, à taxa de 2,5% ao mês. Qual o valor do desconto simples (ou bancário) que será obtido com o resgate antecipado do título de Jorge Luiz?
 

Provas

Questão presente nas seguintes provas
2797653 Ano: 2023
Disciplina: Contabilidade Geral
Banca: FUNDATEC
Orgão: SIMAE-SC
Para Vieira Sobrinho (2023), o Sistema de Amortização Constante (SAC) consiste em um plano de amortização de uma dívida em prestações periódicas, sucessivas e decrescentes em progressão aritmética, dentro do conceito de termos vencidos, em que o valor de cada prestação é composto por uma parcela de juros e outra de capital, chamada de amortização. Cláudia contraiu um empréstimo de R$ 100.000,00 (cem mil reais), à taxa de 3% ao mês a ser liquidado em 10 (dez) prestações mensais. Sendo assim, complemente o plano de pagamento do empréstimo de Cláudia na Tabela 2 abaixo, com base no SAC, e calcule o valor da prestação 5.
Enunciado 3570043-1

Com base no cálculo efetuado, o valor da quinta prestação é de:
 

Provas

Questão presente nas seguintes provas
2797652 Ano: 2023
Disciplina: Contabilidade Geral
Banca: FUNDATEC
Orgão: SIMAE-SC
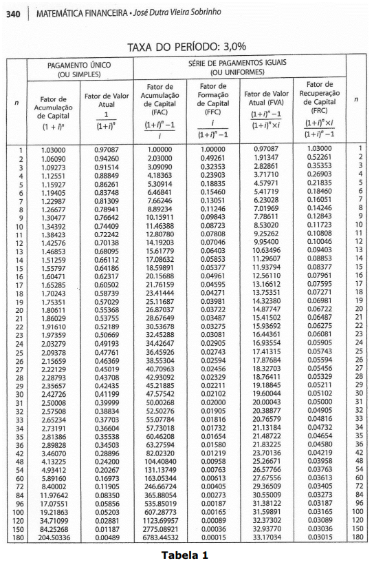
João fez uma aplicação de R$ 10.000,00 (dez mil reais), pelo prazo de seis meses, a uma taxa de 3% ao mês. Qual o valor montante resultante da aplicação do valor investido por João ao final dos seis meses, se considerarmos pelo regime de capitalização composta? Para obter o valor correspondente à função exponencial, consulte a Tabela 1, definida para a taxa de 3%, para o prazo correspondente. O valor total do montante da aplicação após o prazo de seis meses corresponde a:
Enunciado 3570042-1
 

Provas

Questão presente nas seguintes provas
2797651 Ano: 2023
Disciplina: Contabilidade Geral
Banca: FUNDATEC
Orgão: SIMAE-SC
Carlos efetuou um empréstimo bancário por um determinado prazo e a uma taxa de juros. Sendo assim, qual o valor dos juros correspondentes ao empréstimo de R$ 20.000,00 (vinte mil reais) efetuado por Carlos, pelo prazo de 12 meses, pelo regime de capitalização simples, sabendo-se que a taxa cobrada é de 5% ao mês?
 

Provas

Questão presente nas seguintes provas
2797650 Ano: 2023
Disciplina: Contabilidade Geral
Banca: FUNDATEC
Orgão: SIMAE-SC
O MCASP de 2019 define que a situação patrimonial líquida é a diferença entre os ativos e os passivos após a inclusão de outros recursos e a dedução de outras obrigações, reconhecida no Balanço Patrimonial como patrimônio líquido. Nesse sentido, com base nas definições do referido Manual, analise as seguintes assertivas, relativas alguns dos integrantes do patrimônio líquido, assinalando C, se corretas ou I, se incorretas.
( ) Capital social. ( ) Reservas de capital. ( ) Reservas de lucros. ( ) Estoques.
A ordem correta de preenchimento dos parênteses, de cima para baixo, é:
 

Provas

Questão presente nas seguintes provas