Foram encontradas 59 questões.
Na construção de gráficos de funções, Shilov, em seu livro Construindo gráficos sugere o método" traçado por operações". Segundo esse método, o gráfico de uma função polinomial pode ser traçado, por exemplo, fatorando-a em expressões de grau menor e estudando o crescimento e o sinal de cada uma das funções associadas à expressão. Assim, o gráfico da função h(x) = x2 %u2013 6x + 8 pode ser traçado a partir do produto das seguintes funções f(x) e g(x)
Provas
Sobre um quadrado ABCD, de lado de 4 cm, determinamos os pontos M,N,P e Q de tal forma que AM = BN = CP = DQ = x. A área de MNPQ ,em centímetros quadrados e em função de x, é

Provas
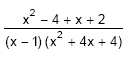
Simplificando a fração
, na qual x ≠ 1 e x ≠ −2 obtém-se
Provas
No conjunto dos números reais a inequação a x 0 x b ≥ − + tem por conjunto-solução { x∈ R / − 3 ≤ x < 4} . Os valores de a e b são, respectivamente,
Provas
A soma de dois números inteiros é 924. Juntando 78 a cada um dos números, um dos resultados fica o dobro do outro. O menor desses números é
Provas
O gráfico da figura mostra as coordenadas do ponto máximo de uma função de segundo grau do tipo f(x) = ax2 + bx + c

Provas
O valor da medida a, em centímetros, no triângulo retângulo MEU é

Provas
No triângulo LUA, o lado LA é diâmetro do círculo de centro O. A altura UH do triângulo divide o segmento LA em segmentos LH e HA, que medem, respectivamente, 8,0 cm e 32 cm. A medida UH, em centímetros, é igual a

Provas
Na malha da figura, cada quadrado menor tem 6,0 cm de lado. A área do triângulo ABC, determinado pela diagonal MN é , em centímetros quadrados, igual a

Provas
A quantidade de informações que um computador é capaz de armazenar, isto é, sua memória, pode ser expressa por uma determinada quantidade de bytes. Como essa memória geralmente é grande, utilizam-se prefixos para auxiliar a notação de suas quantidades de bytes. Os prefixos mais utilizados são os quilo, os mega e os giga.
1 quilobyte ≅ 1000 bytes
1 megabyte ≅ 1000 000 bytes
1 gigabyte ≅ 1 000 000 000 bytes
Quantos milhões de bytes de memória tem, aproximadamente, um computador de 3,2 gigabytes?
Provas
Caderno Container