Magna Concursos

Foram encontradas 45 questões.

3991001 Ano: 2025
Disciplina: Matemática
Banca: MS CONCURSOS
Orgão: SESI-BA
Provas:
Uma professora corrigiu 18 provas em 45 minutos, mantendo o mesmo ritmo, quanto tempo levará para corrigir 30 provas?
 

Provas

Questão presente nas seguintes provas
3991000 Ano: 2025
Disciplina: Matemática
Banca: MS CONCURSOS
Orgão: SESI-BA
Provas:
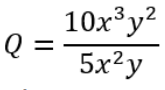
Em uma fábrica de embalagens, a produção diária depende do número de máquinas em funcionamento e do tempo trabalhado. A quantidade de caixas produzidas é dada pela expressão:
Enunciado 4927212-1
onde: x representa o número de máquinas em operação. y representa o número de horas trabalhadas no dia.
Simplificando a expressão, podemos representar a produção diária de caixas de forma mais simples. Assinale a alternativa que apresenta, corretamente, essa nova forma simplificada de Q.
 

Provas

Questão presente nas seguintes provas
3990999 Ano: 2025
Disciplina: Matemática
Banca: MS CONCURSOS
Orgão: SESI-BA
Provas:
João tem um tecido de comprimento Enunciado 4927211-1metros e corta 2 metros dele. Após o corte, quanto terá de comprimento o tecido restante? 
 

Provas

Questão presente nas seguintes provas
3990998 Ano: 2025
Disciplina: Raciocínio Lógico
Banca: MS CONCURSOS
Orgão: SESI-BA
Provas:
Em uma pesquisa com 30 alunos sobre esportes, observou-se o seguinte: 18 praticam futebol, 12 vôlei, 5 futebol e vôlei, 5 não praticam nenhum dos dois esportes. Com base nessas informações, determine quantos alunos praticam apenas futebol.
 

Provas

Questão presente nas seguintes provas
3990997 Ano: 2025
Disciplina: Matemática
Banca: MS CONCURSOS
Orgão: SESI-BA
Provas:
Em um tanque de peixes, havia 240 litros de água. Um vazamento fez com que o tanque perdesse 0,75 do total de água. Depois, o dono adicionou ¼ da quantidade que restou para repor parte da perda. Qual é o volume final de água no tanque?
 

Provas

Questão presente nas seguintes provas
3990996 Ano: 2025
Disciplina: Matemática
Banca: MS CONCURSOS
Orgão: SESI-BA
Provas:
Durante um dia de inverno, a temperatura em uma cidade foi de –3 °C pela manhã. À tarde, a temperatura aumentou 5 °C, e à noite diminuiu 7 °C em relação à temperatura da tarde. Qual foi a temperatura à noite nessa cidade?
 

Provas

Questão presente nas seguintes provas
3990995 Ano: 2025
Disciplina: Matemática
Banca: MS CONCURSOS
Orgão: SESI-BA
Provas:
Um ônibus escolar transporta 48 alunos por viagem. Se ele fizer 5 viagens completas e depois ainda transportar metade dessa quantidade em uma viagem extra, quantos alunos serão transportados ao todo?
 

Provas

Questão presente nas seguintes provas
3990994 Ano: 2025
Disciplina: Matemática
Banca: MS CONCURSOS
Orgão: SESI-BA
Provas:
Para organizar pacotes com a mesma quantidade de balas, sem que sobre nenhuma, João quer dividir igualmente 84 balas de morango e 60 de uva. Ele deseja formar pacotes com o maior número possível de balas em cada um. Qual será a quantidade de balas em cada pacote?
 

Provas

Questão presente nas seguintes provas
3990993 Ano: 2025
Disciplina: Matemática
Banca: MS CONCURSOS
Orgão: SESI-BA
Provas:
Em uma fábrica de sucos, a mistura ideal para produzir 20 litros de suco é feita com 5 litros de polpa de fruta e 15 de água. Para uma nova produção, o encarregado deseja preparar 48 litros do mesmo suco, mantendo a mesma proporção de polpa e água. Quantos litros de polpa de fruta deverão ser usados nessa nova mistura?
 

Provas

Questão presente nas seguintes provas
3990992 Ano: 2025
Disciplina: Matemática
Banca: MS CONCURSOS
Orgão: SESI-BA
Provas:
Durante uma aula, o professor pediu que os alunos simplificassem a expressão: (23)2 x24
Qual é o resultado dessa expressão?
 

Provas

Questão presente nas seguintes provas