Foram encontradas 40 questões.
O valor de log2(16) + log16(2) é igual a
Provas
Questão presente nas seguintes provas
Considere a reta r: y = –3(x – 2) e o ponto P = (3, 4). Considere,
ainda, s a reta que passa por P e que é perpendicular à reta r.
Com base nessas informações, assinale a opção que indica o
ponto no qual se interceptam as retas r e s.
Provas
Questão presente nas seguintes provas
Em um mesmo plano, a reta r passa pelos pontos
A = (0, 0) e B = (3, 2), e a reta s passa pelos pontos C = (6, 10) e
D = (0, 19).
Acerca dessas retas, assinale a opção correta.
Acerca dessas retas, assinale a opção correta.
Provas
Questão presente nas seguintes provas
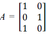
Considerando-se
uma matriz 3 × 2, se At denota a trasposta de A, então o produto At × A é a matriz
uma matriz 3 × 2, se At denota a trasposta de A, então o produto At × A é a matrizProvas
Questão presente nas seguintes provas
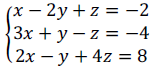
Considerando-se {x, y, z} como solução do sistema


então o valor de x + y + z é igual a


então o valor de x + y + z é igual a
Provas
Questão presente nas seguintes provas
Considere as retas f, g, h, p e q a seguir.
f: y = 4x + 1 g: y = 4x – 2 h: y = 4x p:y = –3x + 6 q: y = –4x + 1
No próximo gráfico, A é o ponto de interseção da reta q com a reta f; B é o ponto de interseção da reta p com a reta f; C é o ponto de interseção da reta q com a reta h; D é o ponto de interseção da reta p com a reta h; E é o ponto de interseção da reta q com a reta g; e F é o ponto de interseção da reta p com a reta g.
A distância aproximada de B até D é de 45/100 metros; a de D até F é de 9/10 metros; e a de C até E é de 103/100 metros.

Com base nas informações anteriores, assinale a opção que contém o valor correspondente à distância de A até C.
f: y = 4x + 1 g: y = 4x – 2 h: y = 4x p:y = –3x + 6 q: y = –4x + 1
No próximo gráfico, A é o ponto de interseção da reta q com a reta f; B é o ponto de interseção da reta p com a reta f; C é o ponto de interseção da reta q com a reta h; D é o ponto de interseção da reta p com a reta h; E é o ponto de interseção da reta q com a reta g; e F é o ponto de interseção da reta p com a reta g.
A distância aproximada de B até D é de 45/100 metros; a de D até F é de 9/10 metros; e a de C até E é de 103/100 metros.

Com base nas informações anteriores, assinale a opção que contém o valor correspondente à distância de A até C.
Provas
Questão presente nas seguintes provas
Se –2 é raiz do polinômio p(x) = 2x³
– a³
x – 38, então o valor de
a é igual a
Provas
Questão presente nas seguintes provas
A quantidade de soluções reais da equação log3 (x³) + log3 (1/2) = log3 (4) é igual a
Provas
Questão presente nas seguintes provas
Considerando-se f: ℝ→ℝ uma função polinomial dada por
f(x) = mx³
+ 8x²
+ 20mx + 1, cujo gráfico contenha o ponto
P(2, –15), então o valor de m é igual a
Provas
Questão presente nas seguintes provas
Um hexágono regular tem área igual à da circunferência
dada pela equação x²
+ y²
+ 3y = 4, em que os valores de x e y
estão em centímetros.
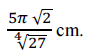
Nesse caso, o lado do hexágono mede
Nesse caso, o lado do hexágono mede
Provas
Questão presente nas seguintes provas
Cadernos
Caderno Container