Foram encontradas 324 questões.
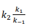
Muitas reações químicas ocorrem por mecanismos que envolvem
mais de uma etapa na qual cada uma delas possui sua própria
constante de velocidade e energia de ativação. Para a reação em
fase gasosa entre óxido nítrico (NO) e bromo (Br2) foi proposto o
mecanismo em duas etapas a seguir, em que k1, k-1 e k2,
representam as constantes de velocidade envolvidas em cada
etapa:
Etapa 1: 2 NO(g)
N2O2(g) (rápida, equilíbrio)
Etapa 2: N2O2(g) + Br2(g)
2NOBr (lenta)
A constante de velocidade para a reação entre óxido nítrico e bromo pode ser expresso em função das constantes k1, k-1 e k2 por meio da expressão:
Etapa 1: 2 NO(g)
Etapa 2: N2O2(g) + Br2(g)
A constante de velocidade para a reação entre óxido nítrico e bromo pode ser expresso em função das constantes k1, k-1 e k2 por meio da expressão:
Provas
Questão presente nas seguintes provas
A técnica do radiocarbono é largamente utilizada na arqueologia
e na antropologia como forma de estimar a idade de
determinados artefatos. Esse radioisótopo possui tempo de meia
vida de 5600 anos e decai a uma taxa de 14,0dpm.g-1
(desintegrações por minuto por grama).
Considerando que a análise de um artefato encontrado por arqueólogos tenha apresentado atividade de carbono-14 equivalente a 10,7dpm.g-1 é possível estimar que a idade do artefato (em anos) é, aproximadamente, igual a
(Dados: use log 1,3 = 0,11 e log 2 = 0,3)
Considerando que a análise de um artefato encontrado por arqueólogos tenha apresentado atividade de carbono-14 equivalente a 10,7dpm.g-1 é possível estimar que a idade do artefato (em anos) é, aproximadamente, igual a
(Dados: use log 1,3 = 0,11 e log 2 = 0,3)
Provas
Questão presente nas seguintes provas
Um determinado material é confeccionado a partir da mistura de
massas iguais de duas substâncias hipotéticas X e Y cujas
densidades valem, respectivamente, dx e dy.
Admitindo que não há reação química entre as substâncias, e que na mistura ocorra a aditividade das massas e dos volumes, a densidade do material confeccionado pode ser expressa como:
Admitindo que não há reação química entre as substâncias, e que na mistura ocorra a aditividade das massas e dos volumes, a densidade do material confeccionado pode ser expressa como:
Provas
Questão presente nas seguintes provas
O índice de deficiência de hidrogênio (IDH) é um dado bastante
útil para a previsão da estrutura de um composto orgânico. Para
um composto de fórmula genérica CaHbNcOdXe (em que X
representa um halogênio), o IDH pode ser medido por meio da
seguinte expressão:

O composto que possui IDH igual a 4 é o
O composto que possui IDH igual a 4 é o
Provas
Questão presente nas seguintes provas
Os primeiros relatos sobre o uso da pólvora se deram entre os chineses na Idade Média. A composição clássica desse material contém nitrato de potássio, carvão vegetal (carbono) e enxofre. Quando reagem entre si, esses compostos produzem nitrogênio gasoso, gás carbônico, carbonato de potássio e sulfato de potássio sólidos, além de grande quantidade de energia.
A soma dos menores inteiros que balanceiam corretamente a reação descrita é igual a
Provas
Questão presente nas seguintes provas
A análise química elementar ocorre tanto em nível qualitativo
como em nível quantitativo. Durante um processo de análise
procedeu-se à combustão completa de 18,0mg de uma
determinada substância orgânica formada somente por carbono,
hidrogênio e oxigênio. Nesse processo, foram obtidos 39,6mg de
gás carbônico e 21,6mg de água.
A fórmula molecular da referida substância orgânica é
A fórmula molecular da referida substância orgânica é
Provas
Questão presente nas seguintes provas
A Classificação Periódica dos Elementos é uma das mais
importantes ferramentas para o trabalho de químicos, sendo
construída a partir de padrões que se repetem periodicamente.
Observe a tabela a seguir, na qual uma propriedade periódica X é apresentada, com unidade de medida adequada, para três elementos químicos.

A propriedade representada por X é
Observe a tabela a seguir, na qual uma propriedade periódica X é apresentada, com unidade de medida adequada, para três elementos químicos.

A propriedade representada por X é
Provas
Questão presente nas seguintes provas
No século XVIII as transformações químicas foram atreladas a um
“princípio material da inflamabilidade”, que ficou conhecido
como flogisto. Assim, segundo esse princípio, em reações como a
combustão de matéria orgânica ou a queima de metais, ocorria a
liberação de flogisto, indicada pela presença de luz e calor.
Atualmente tais processos podem ser classificados como reações de
Atualmente tais processos podem ser classificados como reações de
Provas
Questão presente nas seguintes provas
Uma das regras de ligação química mais conhecidas é a chamada
regra do octeto, na qual cada átomo tende a ficar com oito
elétrons em sua camada de valência. No entanto, elementos a
partir do terceiro período, por possuírem orbitais vazios, podem
acomodar uma quantidade maior de elétrons, ocorrendo a
chamada “expansão do octeto”. Isso ocorre, por exemplo, em
moléculas como SF4, BrF3 e XeF4.
Para essas moléculas, as geometrias espaciais são, respectivamente,
Para essas moléculas, as geometrias espaciais são, respectivamente,
Provas
Questão presente nas seguintes provas
Leia o depoimento de uma socióloga indígena a respeito dos
desafios enfrentados pelos povos tradicionais em ambiente
urbano:
Sou Avelin Buniacá Kambiwá, mulher indígena do povo Kambiwá, moradora de Belo Horizonte de família migrante. A migração da minha família do sertão pernambucano para a capital mineira, se deu pela busca de melhores perspectivas de emprego e de renda. Com as condições desfavoráveis encontradas na cidade, foi muito difícil preservar as práticas sagradas originais, sendo que restou, a nós migrantes indígenas, ocupar as áreas pobres e de periferia dos centros urbanos, onde prevalecem, majoritariamente, as igrejas evangélicas pentecostais. Foi onde nos tornamos “Índio favela”. No que tange às nossas práticas do sagrado, esse desaparecimento é ainda mais evidente e violento. Não apenas pelo óbvio aspecto urbano da vida sem contato com a natureza, as roças, as ervas para o feitio dos chás, pomadas e remédios, mas também por uma pressão social para que isso aconteça. Participar dos ritos do colonizador camufla o racismo e nos dá uma falsa sensação de pertencimento.
Adaptado de Avelin Buniacá Kambiwá, “Do índio favela ao toré no asfalto: as cidades, as práticas do sagrado e suas relações” in As Cidades e o Sagrado dos Povos Tradicionais. Belo Horizonte: Fund. Municipal de Cultura de Belo Horizonte, 2019, p. 38-39.
Com base no depoimento, assinale a afirmativa que interpreta corretamente os problemas e as possibilidades das práticas ancestrais do sagrado nas cidades brasileiras para os povos tradicionais.
Sou Avelin Buniacá Kambiwá, mulher indígena do povo Kambiwá, moradora de Belo Horizonte de família migrante. A migração da minha família do sertão pernambucano para a capital mineira, se deu pela busca de melhores perspectivas de emprego e de renda. Com as condições desfavoráveis encontradas na cidade, foi muito difícil preservar as práticas sagradas originais, sendo que restou, a nós migrantes indígenas, ocupar as áreas pobres e de periferia dos centros urbanos, onde prevalecem, majoritariamente, as igrejas evangélicas pentecostais. Foi onde nos tornamos “Índio favela”. No que tange às nossas práticas do sagrado, esse desaparecimento é ainda mais evidente e violento. Não apenas pelo óbvio aspecto urbano da vida sem contato com a natureza, as roças, as ervas para o feitio dos chás, pomadas e remédios, mas também por uma pressão social para que isso aconteça. Participar dos ritos do colonizador camufla o racismo e nos dá uma falsa sensação de pertencimento.
Adaptado de Avelin Buniacá Kambiwá, “Do índio favela ao toré no asfalto: as cidades, as práticas do sagrado e suas relações” in As Cidades e o Sagrado dos Povos Tradicionais. Belo Horizonte: Fund. Municipal de Cultura de Belo Horizonte, 2019, p. 38-39.
Com base no depoimento, assinale a afirmativa que interpreta corretamente os problemas e as possibilidades das práticas ancestrais do sagrado nas cidades brasileiras para os povos tradicionais.
Provas
Questão presente nas seguintes provas
Cadernos
Caderno Container