Foram encontradas 700 questões.
O mentol é um composto orgânico utilizado na fabricação de numerosos produtos, devido às suas ações analgésica e antiinflamatória.
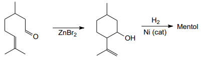
Este composto é obtido a partir da extração do óleo essencial da menta ou da síntese a partir do citronelal, um outro composto natural.
A rota sintética que conduz à formação do mentol, partindo do citronelal, está apresentada a seguir.

Considerando a rota sintética apresentada, a estrutura do mentol é:
Provas

Sobre a estrutura do fentanil, analise as afirmativas a seguir.
I. Possui somente um carbono sp2 . II. É uma cadeia heterogênea. III. Não possui insaturações.
Está correto o que se afirma em
Provas
- Química InorgânicaSoluções e Substâncias InorgânicasPropriedades Coligativas: Tonoscopia, Ebulioscopia, Crioscopia e Pressão Osmótica.

A solução que apresenta o menor efeito crioscópico é a
Provas
Este experimento é utilizado para explicar conceitos relacionados ao modelo atômico de
Provas
Os rótulos de produtos químicos devem apresentar informações sobre segurança, saúde e meio ambiente relacionadas com as substâncias.
Entre as informações do rótulo de um produto químico perigoso devem estar a composição química, a frase de advertência e os símbolos de perigo.
Entre os principais símbolos de perigo presentes nos laboratórios estão:

Na rotulagem dos frascos das substâncias ácido sulfúrico, ácido perclórico, peróxido de hidrogênio e hidróxido de sódio devem ser usados os pictogramas:
Provas
https://canaltech.com.br/ciencia/antes-de-existirmos-onde-estavam-os-atomos- que-formam-nosso-corpo-245160/. Acesso em 10/04/2023.
Sobre esses elementos, que formam diferentes compostos presentes no nosso organismo, assinale a opção que indica os dois que apresentam maior eletronegatividade.
Provas
Na Nuvem Molecular de Perseus pesquisadoras encontraram numerosas moléculas essenciais para a construção de aminoácidos. A descoberta pode ajudar cientistas na busca da origem da vida. Segundo esse estudo, a parte interna dessa região possui moléculas comuns, como hidrogênio molecular, água, dióxido de carbono, cianeto de hidrogênio e amônia.
https://canaltech.com.br/espaco/moleculas-essenciais-a-vida-sao-detectadas-em- disco-formador-de-planetas-245418/. Acesso em: 10/04/2023. Adaptado.
Entre as substâncias citadas, assinale a que apresenta, em solução aquosa, características alcalinas.
Provas
- Química CinéticaRepresentação das Transformações Químicas
- Química InorgânicaSoluções e Substâncias InorgânicasSoluções: características, tipos de concentração, diluição, mistura, titulação e soluções coloidais
Dados: massas molares (g.mol-1): S =32; Fe=56.
Se 44kg de sulfeto de ferro(II) contendo impurezas inertes produziram 6,8kg de gás sulfídrico, a porcentagem de pureza desse sulfeto é de
Provas
Na reação apresentada, o número atômico de X e o número de massa de Y são, respectivamente,
Provas
- Química OrgânicaFunções Nitrogenadas: Amina, Amida, Nitrila, Isonitrila e Nitro Composto
- Química OrgânicaFunções Oxigenadas: Álcool, Fenol e Enol
- Química OrgânicaFunções Oxigenadas: Cetona, Aldeído, Éter, Éster, Ácido Carboxílico etc.
Adaptado de: https://oglobo.globo.com/saude/medicina/noticia/2023/03. Acesso em 02/04/2023. Analise a estrutura da capsaicina apresentada a seguir.

Os grupos funcionais presentes na estrutura que caracterizam as seguintes funções orgânicas:
Provas
Caderno Container