Foram encontradas 1.909 questões.
Baseando-se na equação que representa a produção de biodiesel, conclui-se

que a maior desvantagem socioambiental da produção é a
Provas
A emissão de dióxido de enxofre pode ocorrer pela combustão de óleo diesel com alto teor de enxofre. O acúmulo desse óxido na atmosfera pode causar, após eventos de chuva, a
I. corrosão de estruturas metálicas.
II. corrosão de estátuas de mármore.
III. alcalinização de solos.
Está correto o que se afirma APENAS em
Provas
Considere as seguintes tabelas, obtidas a partir de dados do Balanço Energético Nacional de 2007 - Ministério de Minas e Energia, sobre as fontes energéticas para o setor doméstico e industrial no Brasil.

Pelos dados do balanço energético nacional, pode-se concluir que
I. o setor industrial reaproveita resíduos como fonte energética.
II. as fontes não renováveis compõem mais de 1/4 da matriz energética industrial.
III. as fontes não renováveis predominam no setor doméstico.
Está correto o que se afirma APENAS em
Provas
No município de São Paulo, a poluição do ar já é considerada um problema de saúde pública. Um dos poluentes atmosféricos que interfere no processo respiratório humano, sendo formado a partir de reações fotoquímicas entre subprodutos da combustão de hidrocarbonetos, é o
Provas
A seguir estão as estruturas de algumas vitaminas hidrossolúveis:

As funções ácido carboxílico e amida estão presentes APENAS
Provas
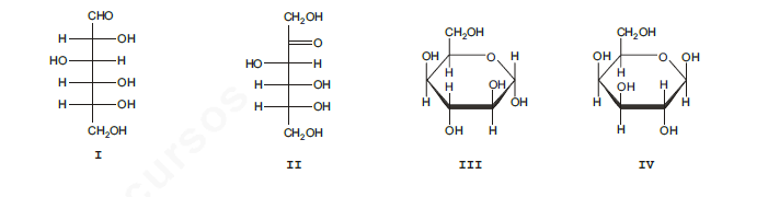
A seguir estão representadas algumas estruturas de carboidratos:

As estruturas que são isômeras entre si estão representadas em
Provas
Segundo os distribuidores de materiais para manutenção de piscinas, a faixa ideal de pH da água da piscina deve ser de 7,0 a 7,4. Em águas com pH = 6,0, há um excesso de íons H+, que pode ser eliminado pela adição de barrilha leve, cuja composição básica é carbonato de sódio, Na2CO3. As reações que ocorrem estão representadas a seguir

Considerando 100% de rendimento de reação, numa piscina contendo 20 m3 de água, para elevar o pH de 6,0 para 7,0, é necessário adicionar uma quantidade, em mol, de Na2CO3, correspondente a, aproximadamente
Provas
- Sistemas de EquilíbrioSistemas Homogêneos: Solubilidade dos Sais, Hidrólise dos Sais e Curvas de Titulação.
Foi observada a seguinte composição para uma determinada água mineral:

Considerando os equilíbrios químicos que podem se formar pela dissolução desses sais, espera-se para essa água mineral, a 25 °C, caráter

Provas
Em Mossoró, o sal marinho bruto é obtido com 2,3% em massa de umidade. Após o refino, essa umidade cai para 0,9%, o que corresponde, para cada tonelada de sal, a retirada de
Provas
A seguir está representado o mecanismo da reação de decomposição do ácido metanóico, com catalisador H+ .

Esse mecanismo representa uma reação ......, cuja etapa mais lenta está representada por ...... .
Completam corretamente as lacunas, na ordem em que aparecem,
Provas
Caderno Container