Foram encontradas 59 questões.
Quantos divisores inteiros positivos possui o número 2420?
Provas
Questão presente nas seguintes provas
Três mulheres e quatro homens vão sentar-se em torno de uma mesa redonda. Em quantas disposições diferentes isso pode ser feito, se pessoas do mesmo sexo devem permanecer juntas?
Provas
Questão presente nas seguintes provas
Determine a equação da parábola de vértice V(3,–1), sabendo-se que y–1 = 0 é equação de sua diretriz?
Provas
Questão presente nas seguintes provas
A soma das medidas dos ângulos das faces de um poliedro convexo é 1080°. Determine o número de faces, sabendo-se que o poliedro tem 8 arestas:
Provas
Questão presente nas seguintes provas
Se a soma dos 10 primeiros termos de uma progressão aritmética é 50 e a soma dos 20 primeiros termos também é 50, então a soma dos 30 primeiros termos é:
Provas
Questão presente nas seguintes provas
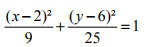
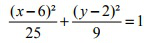
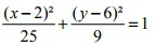
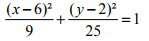
A equação da elipse que passa pelo ponto Q(6,5), cujo eixo maior AB é tal que A(1,2) e B(11,2).
Provas
Questão presente nas seguintes provas
Há 10 anos o preço de um carro popular era de (1+x) reais. Há 5 anos era de (13+ x) reais e hoje é (49+x) reais. Sabendo-se que tal aumento deu-se em progressão geométrica e de 5 em 5 anos, pode-se afirmar que a razão do aumento foi:
Provas
Questão presente nas seguintes provas
Qual é o valor da integral 

Provas
Questão presente nas seguintes provas
No desenvolvimento de
, para que o coeficiente do termo em x4 seja 15, w deve ser igual a:
, para que o coeficiente do termo em x4 seja 15, w deve ser igual a: Provas
Questão presente nas seguintes provas
Efetuando as operações indicadas na expressão
x 2012. Obtemos um número de quatro algarismos. Qual é a soma dos algarismos desse número?
x 2012. Obtemos um número de quatro algarismos. Qual é a soma dos algarismos desse número? Provas
Questão presente nas seguintes provas
Cadernos
Caderno Container