Foram encontradas 185 questões.
Para a execução do metro quadrado de alvenaria de tijolos cerâmicos furados com 20 cm de espessura são necessários, para
mão de obra, 0,80h de pedreiro e 1,00h de servente. Para orçar o custo da mão de obra, o tempo necessário para a execução
de 160 m2 desse serviço com 2 pedreiros e 2 serventes, é
Provas
Questão presente nas seguintes provas
Nos projetos desenvolvidos no programa Revit, quando se deseja inserir no desenho paredes, portas e janelas, podem ser
utilizados, respectivamente, os seguintes atalhos:
Provas
Questão presente nas seguintes provas
Nas obras que utilizam o concreto preparado por empresa de serviços de concretagem, devem ser realizados ensaios de
controle tecnológico do concreto a cada betonada. O teste de abatimento do tronco de cone ou slump test no concreto serve
38.
para
Provas
Questão presente nas seguintes provas
No projeto de edificações com alvenaria estrutural, a área percentual máxima da seção transversal das armaduras alojadas em
um mesmo espaço grauteado (furo vertical ou canaleta horizontal), em relação à área correspondente da seção do graute
envolvente, considerando-se eventuais regiões de traspasse, é
Provas
Questão presente nas seguintes provas
Para o revestimento dos pisos de uma residência com porcelanato, uma construtora considerou R$ 8.000,00 de custos diretos e
R$ 320,00 de custos indiretos. Se o preço desse serviço repassado ao cliente foi de R$ 10.400,00, então, o BDI da construtora é
Provas
Questão presente nas seguintes provas
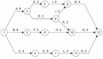
A obra de restauração de uma edificação seguiu o cronograma PERT-CPM a seguir, no qual as atividades estão indicadas por
letras, seguidas de suas durações em semanas.
No decorrer da obra, a atividade G atrasou 2 semanas, devido a fortes chuvas na região, contudo, a obra foi entregue no prazo, pois a folga no caminho das atividades C, G, L e O, em semanas, é
No decorrer da obra, a atividade G atrasou 2 semanas, devido a fortes chuvas na região, contudo, a obra foi entregue no prazo, pois a folga no caminho das atividades C, G, L e O, em semanas, é
Provas
Questão presente nas seguintes provas
No projeto das instalações elétricas de um edifício, as previsões das cargas mínimas de iluminação e de tomadas de uso geral
de um salão de festas com medidas de 14 m por 21 m são, respectivamente,
Provas
Questão presente nas seguintes provas
O sistema de recalque de água de um edifício foi projetado para utilizar uma bomba centrífuga com potência de 4 CV e rendimento de 80%. Considerando que a altura manométrica de projeto é 60 m, a vazão de água do sistema de recalque é
Provas
Questão presente nas seguintes provas
Uma estrutura foi projetada para utilizar 40 vigas maciças de madeira com seção transversal retangular e comprimento de 4 m.
Se a área da seção transversal dessas vigas é a mínima permitida, então, o volume de madeira somado de todas essas vigas é
Provas
Questão presente nas seguintes provas
Considere a tabela.

A partir dos dados do IBGE, do ano de 2022, e do conhecimento sobre a geografia do Piauí,
Provas
Questão presente nas seguintes provas
Cadernos
Caderno Container