Magna Concursos

Foram encontradas 194 questões.

836810 Ano: 2014
Disciplina: Engenharia Elétrica
Banca: VUNESP
Orgão: SAP-SP
Provas:
Uma fonte trifásica, simétrica e de sequência negativa (ACB) alimenta uma carga equilibrada conectada em estrela. Supondo que:
• Impedância de carga enunciado 836810-1 [Ω] •Tipo de conexão da fonte: estrela; e • Fasor da tensão na fase A da fonte: 100 [V].
Assinale a alternativa que apresenta corretamente a corrente na fase B da fonte.
 

Provas

Questão presente nas seguintes provas
836809 Ano: 2014
Disciplina: Engenharia Elétrica
Banca: VUNESP
Orgão: SAP-SP
Provas:

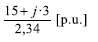
Considere o enunciado a seguir para responder à questão.

O equivalente de Thévenin em uma barra genérica de um sistema trifásico (ABC) solidamente aterrado é composto por uma fonte de tensão de sequência positiva, igual a 1 [p.u.] e uma matriz de impedâncias série simétrica, cujas impedâncias próprias são iguais a 0,01 + j·0,05 [p.u.] e impedâncias mútuas são iguais a j·0,01 [p.u.].

Supondo que o sistema em questão esteja submetido a um curto-circuito trifásico franco nessa barra, assinale a alternativa que apresenta a corrente de curto-circuito na fase A.
 

Provas

Questão presente nas seguintes provas
836808 Ano: 2014
Disciplina: Engenharia Elétrica
Banca: VUNESP
Orgão: SAP-SP
Provas:

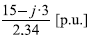
Considere o enunciado a seguir para responder à questão.

O equivalente de Thévenin em uma barra genérica de um sistema trifásico (ABC) solidamente aterrado é composto por uma fonte de tensão de sequência positiva, igual a 1 [p.u.] e uma matriz de impedâncias série simétrica, cujas impedâncias próprias são iguais a 0,01 + j·0,05 [p.u.] e impedâncias mútuas são iguais a j·0,01 [p.u.].

Supondo que o sistema em questão esteja submetido a um curto-circuito fase A-terra franco nessa barra, assinale a alternativa que apresenta a corrente de curto-circuito de sequência positiva.
 

Provas

Questão presente nas seguintes provas
836807 Ano: 2014
Disciplina: Engenharia Civil
Banca: VUNESP
Orgão: SAP-SP
Provas:
Para uniformizar a superfície, regularizar o prumo, alinhar as paredes e tirar as irregularidades dos tijolos e blocos assentados utiliza-se o revestimento externo denominado
 

Provas

Questão presente nas seguintes provas
836806 Ano: 2014
Disciplina: Engenharia Civil
Banca: VUNESP
Orgão: SAP-SP
Provas:
Sobre instalações prediais de água fria, em uma seção da tubulação, a pressão da água prevista em projeto em condições estáticas, ou seja, sem escoamento, é 200 kPa. Nessa seção, o valor da pressão do ensaio de estanqueidade deve ser no mínimo
 

Provas

Questão presente nas seguintes provas
836805 Ano: 2014
Disciplina: Engenharia Civil
Banca: VUNESP
Orgão: SAP-SP
Provas:

Para executar hachuras em um desenho utilizando o programa AutoCAD, o comando a ser utilizado é

 

Provas

Questão presente nas seguintes provas
836804 Ano: 2014
Disciplina: Engenharia Civil
Banca: VUNESP
Orgão: SAP-SP
Provas:
Na reforma de uma edificação antiga para abrir um vão entre dois ambientes, retirando uma parede divisória feita com um tijolo maciço, utilizam-se dois perfis idênticos de aço duplo T, com a largura de um quarto do tijolo e altura adequada para o serviço. Mantendo parte da parede para o apoio dos perfis, inicialmente abre-se um vão de um quarto da espessura da parede em uma das faces com a altura dos perfis e assenta-se o primeiro perfil. Em seguida,
 

Provas

Questão presente nas seguintes provas
836803 Ano: 2014
Disciplina: Engenharia Civil
Banca: VUNESP
Orgão: SAP-SP
Provas:
Para reforçar uma fundação foi necessário executar uma sapata e um pilar ao lado de uma já existente. No lançamento do concreto não deve ocorrer a segregação no caso de peças estreitas e altas. Para dispensar a majoração desses cuidados, a altura máxima de queda livre do concreto é
 

Provas

Questão presente nas seguintes provas
836802 Ano: 2014
Disciplina: Engenharia Civil
Banca: VUNESP
Orgão: SAP-SP
Provas:
Na cobertura com telhado esquematizado na figura, o encontro de águas indicado com a seta recebe o nome de

enunciado 836802-1
 

Provas

Questão presente nas seguintes provas
836801 Ano: 2014
Disciplina: Engenharia Civil
Banca: VUNESP
Orgão: SAP-SP
Provas:

Após a execução de uma viga de concreto armado observaram-se fissuras inclinadas próximas ao apoio. Se o projeto estrutural não apresentou problemas nem inconsistência relacionados ao carregamento submetido, conclui-se que houve insuficiência de armadura durante a construção. Essa armadura é a

enunciado 836801-1

 

Provas

Questão presente nas seguintes provas