Foram encontradas 458 questões.
Uma pilha é definida como um equipamento que consegue converter energia química em energia elétrica. Para isso, ela precisa conter dois eletrodos, o cátodo e o ânodo, formados por diferentes metais, por onde os elétrons irão fluir, gerando a corrente elétrica. Diante do exposto, considerar a pilha galvânica apresentada na figura abaixo:

Considerando-se também a tabela de potenciais-padrão de redução, apresentados na tabela abaixo em V, assinalar a alternativa que apresenta a força eletromotriz desse sistema em mV:

Provas
Considerando-se a reação de oxirredução a seguir, assinalar a alternativa CORRETA:
MnO4- (aq) + C2O42- (aq) →Mn2+ (aq) + CO2(aq) reação em meio ácido
Provas
O gráfico abaixo representa a variação de energia potencial quando ocorre a oxidação do monóxido de carbono, pela ação do dióxido de nitrogênio, segundo a reação química:
CO + NO2 ⇔ CO2 +NO.

Quanto à situação descrita, analisar os itens abaixo:
I - Na reação direta, X representa a energia de ativação da reação.
II - Na reação direta, Y representa a energia absorvida pela reação.
III - A reação indireta é endotérmica.
Está(ão) CORRETO(S):
Provas
- Química CinéticaRepresentação das Transformações Químicas
- Sistemas de EquilíbrioSistemas Homogêneos: Equilíbrio Químico na Água
A figura a seguir representa diluições de uma solução aquosa básica de Ca(OH)2 a partir da solução inicial A.

Entende-se que, após o preparo da solução A, coletou-se 50mL do frasco A para o frasco B, completando-o com água destilada até que o menisco inferior do nível do líquido tangenciasse a linha de aferição do gargalo do balão. Após homogeneização, coletou-se 50mL de B e passou-se para C, completando C com água destilada até a linha de aferição. Diante do exposto, assinalar a alternativa CORRETA:
Dados: Ca = 40,078g/mol; O = 15,999g/mol; H = 1,008g/mol.
Provas
- Química InorgânicaSoluções e Substâncias InorgânicasSoluções: características, tipos de concentração, diluição, mistura, titulação e soluções coloidais
Sobre as características das soluções, assinalar a alternativa CORRETA:
Provas
A desidratação intramolecular do 2-metil-2-butanol na presença de ácido sulfúrico e com aquecimento produzirá:
Provas
- Química CinéticaRepresentação das Transformações Químicas
- Química InorgânicaSoluções e Substâncias InorgânicasSoluções: características, tipos de concentração, diluição, mistura, titulação e soluções coloidais
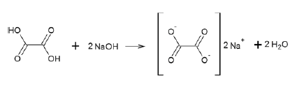
Considerando-se a reação de padronização do hidróxido de sódio com ácido oxálico na presença de fenolftaleína, assinalar a alternativa CORRETA:

Provas
Qual o volume (mL) necessário da solução concentrada de HCl para o preparo de 250mL de uma solução de 0,1 mol/L?
Dados: densidade 1,18g/mL; massa molar 36,46g/mol; 37% (m/m).
Provas
O hidróxido de magnésio (massa molar 58,33g/mol), conhecido como “leite de magnésia”, é frequentemente usado como antiácido para alívio de azia, má digestão e excesso de acidez no estômago. Considerando-se que uma colher (15mL) de leite de magnésia contenha 1.214mg de hidróxido de magnésio, qual a quantidade de matéria (mol) ingerida por um homem que administrou 5 doses (colheres) do medicamento ao longo do dia?
Provas
Considerando-se os reagentes a seguir, assinalar a alternativa CORRETA:

Provas
Caderno Container