Foram encontradas 50 questões.
Relacione adequadamente as colunas a seguir.

( ) Filtro rejeita-faixa.
( ) Filtro passa-faixa.
( ) Filtro passa-baixa.
( ) Filtro passa-alta.
A sequência está correta em
Provas
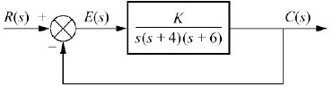
Na imagem, o contorno A envolve os zeros de 1 + G(s)H(s), sendo evidenciado o diagrama de Nyquist de G(s)H(s).

“Considerando as informações anteriores, é correto afirmar que o sistema é e possui polos em malha fechada no semiplano .” Assinale a alternativa que completa correta e sequencialmente a afirmativa anterior.
Provas
A imagem a seguir ilustra uma malha de controle de pressão:

Considerando o exposto, assinale a afirmativa INCORRETA.
Provas
Considerando o diagrama grafcet apresentado e, adotando a mesma escala de tempo para as variáveis, o gráfico que representa a variável D é:

Provas
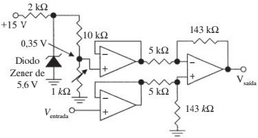
A imagem retrata um circuito utilizado para casar impedâncias e condicionar sinais. Um sensor é ligado à entrada do circuito com uma tensão de 0,7 V. O potenciômetro foi ajustado para uma tensão de 0,35 V no Buffer superior.

Considerando o exposto, a tensão de saída será de, aproximadamente:
Provas
As condições para que o circuito apresentado permaneça equilibrado são:

Provas
Para compensar o sistema dinâmico por um controlador por derivativo ideal, deve-se adotar uma ultrapassagem percentual de 16% e uma redução de três vezes no tempo de assentamento na resposta ao degrau escalar unitário em relação ao processo em malha fechada sem compensação.

O valor do zero do compensador é de, aproximadamente:
Provas
O dispositivo a seguir foi utilizado para amplificar um sinal elétrico em um processo de condicionamento de sinais. O dispositivo MOS tem uma admitância de transferência de 4,5 mA/V.

Se a resistência de carga é igual a 5k Ohms, o ganho de estágio será de, aproximadamente:
Provas
Considere o sensor de abalo estrutural sobre uma carcaça X, medido por Y, dado pela imagem.

A função de transferência que exprime a relação Y(s) por X(s) é dada por:
Provas
Sobre a associação da lógica convencional à lógica Ladder, relacione adequadamente as colunas a seguir.


A sequência está correta em
Provas
Caderno Container