Foram encontradas 1.083 questões.
- Química CinéticaRepresentação das Transformações Químicas
- Transformações Químicas e EnergiaEletroquímica

t MnO2 + u HCl → v MnCl2 + x H2O + z Cl2
Os valores de t, u, v, x e z que correspondem ao balanceamento da equação são, respectivamente,
Provas
Questão presente nas seguintes provas
Considere a produção do polietileno. Este importante material polimérico é preparado a partir do eteno de origem primariamente
do petróleo. Recentemente, algumas indústrias químicas propuseram um método de obtenção desse polímero a partir do
açúcar obtido da cana de açúcar, método em que o polímero é denominado “polietileno verde”.
Provas
Questão presente nas seguintes provas
Considere a produção do polietileno. Este importante material polimérico é preparado a partir do eteno de origem primariamente
do petróleo. Recentemente, algumas indústrias químicas propuseram um método de obtenção desse polímero a partir do
açúcar obtido da cana de açúcar, método em que o polímero é denominado “polietileno verde”.
Provas
Questão presente nas seguintes provas
O ciclo natural do enxofre foi muito perturbado pelo desenvolvimento tecnológico. A legislação atual exige que a presença de
enxofre em combustíveis seja minimizada. Alguns compostos envolvidos no ciclo do enxofre são: S, H2S, SO2.
Considere as seguintes afirmações: I. O dióxido de enxofre contribui com a chuva ácida ao gerar, por oxidação, o ácido sulfúrico. II. O dióxido de enxofre é um gás estufa muito potente. III. Sendo um ácido forte, o ácido sulfúrico pode mudar a distribuição de íons metálicos em corpos d’água causando desequilíbrio ambiental. Está correto o que se afirma APENAS em
Considere as seguintes afirmações: I. O dióxido de enxofre contribui com a chuva ácida ao gerar, por oxidação, o ácido sulfúrico. II. O dióxido de enxofre é um gás estufa muito potente. III. Sendo um ácido forte, o ácido sulfúrico pode mudar a distribuição de íons metálicos em corpos d’água causando desequilíbrio ambiental. Está correto o que se afirma APENAS em
Provas
Questão presente nas seguintes provas
- FundamentosPropriedades das Substâncias
- Química InorgânicaGeometria Molecular, Polaridade e Forças Intermoleculares
O enxofre, em seu ciclo na atmosfera, na transformação SO2(g) → H2SO4(l), sofre um processo de
Provas
Questão presente nas seguintes provas
Nos últimos tempos, fabricantes de tintas prediais vêm buscando desenvolver produtos mais alinhados com a sustentabilidade
como produtos de baixo odor e de baixo VOC (compostos orgânicos voláteis). A reação apresentada a seguir, refere-se à síntese do
Texanol (III), um aditivo coalescente utilizado em tintas do tipo látex, sendo considerado um produto não gerador de VOC, pois seu
ponto de ebulição é de 254 ºC.

Provas
Questão presente nas seguintes provas
- Química OrgânicaFunções Oxigenadas: Álcool, Fenol e Enol
- Química OrgânicaFunções Oxigenadas: Cetona, Aldeído, Éter, Éster, Ácido Carboxílico etc.
Nos últimos tempos, fabricantes de tintas prediais vêm buscando desenvolver produtos mais alinhados com a sustentabilidade
como produtos de baixo odor e de baixo VOC (compostos orgânicos voláteis). A reação apresentada a seguir, refere-se à síntese do
Texanol (III), um aditivo coalescente utilizado em tintas do tipo látex, sendo considerado um produto não gerador de VOC, pois seu
ponto de ebulição é de 254 ºC.

Provas
Questão presente nas seguintes provas
- Química OrgânicaFunções Nitrogenadas: Amina, Amida, Nitrila, Isonitrila e Nitro Composto
- Química OrgânicaFunções Oxigenadas: Cetona, Aldeído, Éter, Éster, Ácido Carboxílico etc.
A Deltametrina é um inseticida sintético de uso tópico, encontrado na composição de sabonetes, shampoos e loções, sendo
indicado para o tratamento de pediculose, escabiose e infestação por carrapato. Sua estrutura química é representada a seguir.

Os grupos funcionais 1, 2 e 3 assinalados na estrutura da Deltametrina, correspondem, respectivamente, a:

Os grupos funcionais 1, 2 e 3 assinalados na estrutura da Deltametrina, correspondem, respectivamente, a:
Provas
Questão presente nas seguintes provas
A seguir, são representadas as estruturas químicas de alguns compostos de enxofre.

Correspondem à isômeros de compensação ou metâmeros, APENAS,
Provas
Questão presente nas seguintes provas
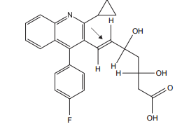
A Pitavastatina, cuja estrutura é representada abaixo, pertence à última geração das estatinas. É um antilipêmico utilizado na
redução do colesterol e triglicérides. No mercado é disponibilizada também na forma do seu sal de cálcio.

A configuração da ligação dupla indicada pela seta na estrutura e o tipo de isomeria envolvida neste caso correspondem a:

A configuração da ligação dupla indicada pela seta na estrutura e o tipo de isomeria envolvida neste caso correspondem a:
Provas
Questão presente nas seguintes provas
Cadernos
Caderno Container