Foram encontradas 40 questões.
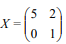
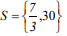
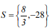
Se S1 denota o conjunto solução da equação
![]()
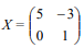
e S2 é o conjunto solução da equação
![]()
podemos AFIRMAR que é igual a:
Provas
Provas
Os preços de um quilograma das carnes chã de dentro, alcatra e picanha são representados pelas variáveis x, y e z respectivamente. Sabendo que x, y e z satisfazem o sistema:

podemos AFIRMAR que os preços do quilograma das carnes chã de dentro, alcatra e picanha são:
Provas
Provas
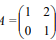
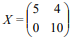
Em uma competição de Matemática foi proposta a seguinte equação:
![]()
Se
podemos AFIRMAR que valor da matriz é igual a:
Provas
Considerando as sequências
(1) (1, 1, 2, 3, 5, 8, 13, 21,.....)
e
(2) (1, 1, 2, 4, 7, 13, 24, 44,.....),
podemos AFIRMAR que a soma dos décimos terceiros termos das sequências e (1) e (2) é igual a:
Provas
Provas
Provas
Provas
Problema proposto: Sabe-se que a diferença entre dois números positivos é 120 e a diferença de suas raízes quadradas é 6.
Assim, podemos AFIRMAR que o ganhador do prêmio recebeu em reais:
Provas
Caderno Container