Magna Concursos

Foram encontradas 467 questões.

3034318 Ano: 2023
Disciplina: Engenharia Elétrica
Banca: FUNDATEC
Orgão: Pref. Sapucaia Sul-RS
Provas:
São sensores sensíveis às variações de campo magnético e, portanto, servem para medir corrente. Contudo, apresentam uma relação de linearidade muito baixa e, além disso, são bastante dependentes da temperatura (Balbinot, 2010). O trecho apresentado faz referência a sensores utilizados para detectar corrente elétrica, que são sensores:
 

Provas

Questão presente nas seguintes provas
3034317 Ano: 2023
Disciplina: Engenharia Elétrica
Banca: FUNDATEC
Orgão: Pref. Sapucaia Sul-RS
Provas:
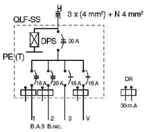
Analise o seguinte diagrama unifilar do circuito de luz e força do subsolo de um edifício residencial:

Enunciado 3394284-1


A seguir, encontra-se a respectiva tabela com a distribuição dos circuitos equivalentes do diagrama unifilar apresentado:

Enunciado 3394284-2


Analisando as informações apresentadas, assinale a alternativa que corresponde ao valor dimensionado para o disjuntor geral desse circuito.
 

Provas

Questão presente nas seguintes provas
3034316 Ano: 2023
Disciplina: Eletroeletrônica
Banca: FUNDATEC
Orgão: Pref. Sapucaia Sul-RS
Provas:

Um estabelecimento comercial tem as seguintes cargas instaladas:

• 12 Lâmpadas de 150W.

• 4 Lâmpadas de 60W.

• 3 Televisores de 100W.

• 1 Sistema de som de 60W.

• 1 Freezer de 400W.

• 1 Forno elétrico de 1500W.

• 1 Estufa de salgados de 250W.

• 1 Câmara fria de 10kW.

Em determinado período do dia, funcionam as seguintes cargas simultaneamente: 12 lâmpadas de150W, 2 televisores, 1 câmara fria, 1 estufa de salgados, 1 freezer e 1 sistema de som. Nesse cenário,qual é o fator de demanda, considerando um cenário ideal?

 

Provas

Questão presente nas seguintes provas
3034315 Ano: 2023
Disciplina: Eletroeletrônica
Banca: FUNDATEC
Orgão: Pref. Sapucaia Sul-RS
Provas:

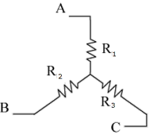
Um circuito ∆ é representado na figura a seguir:

Enunciado 3394282-1

O circuito equivalente em Y é representado na figura a seguir:

Enunciado 3394282-2

Assinale a alternativa que apresenta os valores para R1, R2 e R3 no circuito equivalente em Y (considere o valor com 2 casas decimais).

 

Provas

Questão presente nas seguintes provas
3034314 Ano: 2023
Disciplina: Segurança e Saúde no Trabalho (SST)
Banca: FUNDATEC
Orgão: Pref. Sapucaia Sul-RS
Provas:
O item 10.1.1 desta Norma estabelece os requisitos e condições mínimas objetivando a implementação de medidas de controle e sistemas preventivos, de forma a garantir a segurança e a saúde dos trabalhadores que, direta ou indiretamente, interajam em instalações elétricas e serviços com eletricidade. O trecho refere-se à:
 

Provas

Questão presente nas seguintes provas
3034313 Ano: 2023
Disciplina: Eletroeletrônica
Banca: FUNDATEC
Orgão: Pref. Sapucaia Sul-RS
Provas:
Determine a sequência de fases do conjunto de tensões e assinale a sequência correta considerando:

Enunciado 3394280-1
 

Provas

Questão presente nas seguintes provas
3034312 Ano: 2023
Disciplina: Eletroeletrônica
Banca: FUNDATEC
Orgão: Pref. Sapucaia Sul-RS
Provas:
Uma fonte dependente (ou controlada) ideal é um elemento ativo no qual a quantidade de energia é controlada por outra tensão ou corrente (Sadiku, 2013). Assinale a alternativa que representa a simbologia para uma fonte de corrente dependente.
 

Provas

Questão presente nas seguintes provas
3034311 Ano: 2023
Disciplina: Engenharia Elétrica
Banca: FUNDATEC
Orgão: Pref. Sapucaia Sul-RS
Provas:
Tendo em vista um motor de indução trifásico com corrente de partida de 455 A e 220 V e considerando o máximo de quilovolts-ampères por HP de 6,3 referente à letra de código G (valor extraído da tabela de letras de código NEMA, indicando os quilovolts-ampères por HP do valor nominal de partida de um motor), assinale a alternativa que apresenta a velocidade síncrona do motor em HP (considere o valor com 1 casa decimal).
 

Provas

Questão presente nas seguintes provas
3034310 Ano: 2023
Disciplina: Eletroeletrônica
Banca: FUNDATEC
Orgão: Pref. Sapucaia Sul-RS
Provas:

Um resistor fixo de carbono apresenta a seguinte sequência de cores:

Enunciado 3394277-1

Analisando o código de cores apresentado, qual leitura representa a sequência acima?

 

Provas

Questão presente nas seguintes provas
3034309 Ano: 2023
Disciplina: Física
Banca: FUNDATEC
Orgão: Pref. Sapucaia Sul-RS
Provas:
O Sistema Internacional de Medidas (SI) é baseado nas sete grandezas de base do Sistema Internacional de Grandezas. Nesse contexto, compõem as grandezas de base:

I. Tensão (V). II. Resistência (Ω). III. Corrente elétrica (A). IV. Potência (W). V. Intensidade luminosa (cd).

Quais estão corretas?
 

Provas

Questão presente nas seguintes provas