Foram encontradas 1.112 questões.
4029551
Ano: 2026
Disciplina: Engenharia Civil
Banca: VUNESP
Orgão: Pref. São José Rio Preto-SP
Disciplina: Engenharia Civil
Banca: VUNESP
Orgão: Pref. São José Rio Preto-SP
Provas:
Para preservação das nascentes, córregos e rios, a Lei
Complementar no
651 de 2021 estabelece, como Áreas
de Preservação Municipal (APM), as faixas marginais
para os cursos d´água, ao redor de nascentes, olhos
d’água ou brejos contendo nascentes difusas ainda que
intermitentes, qualquer que seja sua situação topográfica, com raio ou faixa marginal de largura mínima de
Provas
Questão presente nas seguintes provas
4029550
Ano: 2026
Disciplina: Engenharia Civil
Banca: VUNESP
Orgão: Pref. São José Rio Preto-SP
Disciplina: Engenharia Civil
Banca: VUNESP
Orgão: Pref. São José Rio Preto-SP
Provas:
Segundo a Lei nº 13.711 de 2021, nas margens das
faixas de domínio das estradas de ferro, é obrigatória a
reserva de faixa de terreno em ambos os lados, para a
implantação de vias de circulação com, no mínimo,
Provas
Questão presente nas seguintes provas
4029549
Ano: 2026
Disciplina: Engenharia Civil
Banca: VUNESP
Orgão: Pref. São José Rio Preto-SP
Disciplina: Engenharia Civil
Banca: VUNESP
Orgão: Pref. São José Rio Preto-SP
Provas:
Segundo a Lei Complementar no
649 de 2021, nenhum
serviço de construção, reforma ou demolição no Município, pode ser executado no alinhamento da via pública,
sem que essa via seja protegida com a colocação de
tapume.
Os tapumes devem apresentar altura mínima de
Os tapumes devem apresentar altura mínima de
Provas
Questão presente nas seguintes provas
4029548
Ano: 2026
Disciplina: Engenharia Civil
Banca: VUNESP
Orgão: Pref. São José Rio Preto-SP
Disciplina: Engenharia Civil
Banca: VUNESP
Orgão: Pref. São José Rio Preto-SP
Provas:
Nos desenhos elaborados pelo software de projeto auxiliado por computador, AutoCAD, para unir dois segmentos de reta através de um arco, informando o ângulo de
ligação, utiliza-se o comando
Provas
Questão presente nas seguintes provas
4029547
Ano: 2026
Disciplina: Engenharia Civil
Banca: VUNESP
Orgão: Pref. São José Rio Preto-SP
Disciplina: Engenharia Civil
Banca: VUNESP
Orgão: Pref. São José Rio Preto-SP
Provas:
Segundo a Norma Regulamentadora NR 18, para garantir a segurança nos canteiros de obra, as escadas de uso
coletivo devem, entre outros requisitos, ser dimensionadas em função do fluxo de trabalhadores, e ter patamar
intermediário a cada altura de, no máximo,
Provas
Questão presente nas seguintes provas
4029546
Ano: 2026
Disciplina: Engenharia Civil
Banca: VUNESP
Orgão: Pref. São José Rio Preto-SP
Disciplina: Engenharia Civil
Banca: VUNESP
Orgão: Pref. São José Rio Preto-SP
Provas:
Na construção de uma residência, com paredes de alvenaria de tijolos furados, o critério de medição para pagamento dos serviços executados é o de descontar apenas
os vãos menores de 2 m2.
Considerando que, nas quatro fachadas da residência, cujo comprimento somado é 46 m e altura de 3 m, foram abertos os seguintes vãos: 6 janelas (1,25 m por 1,20 m), 1 janela (2,40 m por 1,50 m) e 2 portas (1,00 m por 2,20 m), a medição da área da alvenaria a ser paga é de
Considerando que, nas quatro fachadas da residência, cujo comprimento somado é 46 m e altura de 3 m, foram abertos os seguintes vãos: 6 janelas (1,25 m por 1,20 m), 1 janela (2,40 m por 1,50 m) e 2 portas (1,00 m por 2,20 m), a medição da área da alvenaria a ser paga é de
Provas
Questão presente nas seguintes provas
4029545
Ano: 2026
Disciplina: Engenharia Civil
Banca: VUNESP
Orgão: Pref. São José Rio Preto-SP
Disciplina: Engenharia Civil
Banca: VUNESP
Orgão: Pref. São José Rio Preto-SP
Provas:
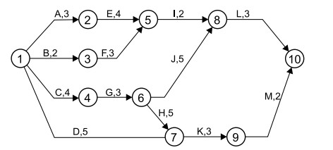
Para o planejamento da construção de um galpão comercial, foi elaborado o cronograma Pert-CPM a seguir, composto por 13 atividades indicadas por letras, seguidas de
suas durações, em semanas.
(Arquivo pessoal; imagem usada com autorização)
Conforme o cronograma, o prazo para a conclusão da reforma é
(Arquivo pessoal; imagem usada com autorização)
Conforme o cronograma, o prazo para a conclusão da reforma é
Provas
Questão presente nas seguintes provas
4029544
Ano: 2026
Disciplina: Engenharia Civil
Banca: VUNESP
Orgão: Pref. São José Rio Preto-SP
Disciplina: Engenharia Civil
Banca: VUNESP
Orgão: Pref. São José Rio Preto-SP
Provas:
No planejamento financeiro da construção de uma
residência, foi prevista a seguinte previsão orçamentária:
R$ 300.000,00 de custos diretos, R$ 12.000,00 de custos
indiretos, 14% de lucro e 8% de impostos.
Com base nessas previsões orçamentárias, o BDI da empreiteira é:
Com base nessas previsões orçamentárias, o BDI da empreiteira é:
Provas
Questão presente nas seguintes provas
4029543
Ano: 2026
Disciplina: Engenharia Civil
Banca: VUNESP
Orgão: Pref. São José Rio Preto-SP
Disciplina: Engenharia Civil
Banca: VUNESP
Orgão: Pref. São José Rio Preto-SP
Provas:
No projeto de pavimentação de estradas, a camada destinada a resistir e distribuir os esforços oriundos do tráfego
e sobre a qual se constrói o revestimento é denominada
Provas
Questão presente nas seguintes provas
4029542
Ano: 2026
Disciplina: Engenharia Civil
Banca: VUNESP
Orgão: Pref. São José Rio Preto-SP
Disciplina: Engenharia Civil
Banca: VUNESP
Orgão: Pref. São José Rio Preto-SP
Provas:
Para atender às necessidades de saneamento básico
de um novo bairro residencial, foi projetada uma rede coletora de esgoto sanitário funcionando com escoamento em
regime uniforme e permanente e em lâmina livre.
Considerando que diâmetro nominal dos tubos coletores é igual a 600 mm, a altura máxima permitida da lâmina d’água para a vazão final é
Considerando que diâmetro nominal dos tubos coletores é igual a 600 mm, a altura máxima permitida da lâmina d’água para a vazão final é
Provas
Questão presente nas seguintes provas
Cadernos
Caderno Container