Foram encontradas 70 questões.
O caldeirão da figura abaixo tem 40 cm de diâmetro e 36 cm de altura.

A capacidade desse caldeirão é de, aproximadamente,
Provas
O triângulo ABC, figura a seguir, é retângulo em A, e D é um ponto do lado AB. Sabe-se que AC = 40 m e que os ângulos CBA e CDA medem, respectivamente, 30° e 45°.

Considerando √3 = 1,73, a medida do segmento BD é de, aproximadamente,
Provas
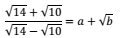
Na expressão

os números a e b são inteiros.
Então, b - a é igual a
Provas

O setor correspondente ao bairro de Brotas tem ângulo central de 54°. Isto significa que a porcentagem das pessoas consultadas que moram em Brotas é de
Provas
Considere o sistema de inequações: 
O número de soluções inteiras desse sistema é
Provas
Complete o quadro a seguir.

O valor de X + Y é
Provas
Provas
No plano cartesiano, os pontos (-1, 8), (2, 6) e (11, k) são colineares.
O valor de k é
Provas
Provas
Em uma rodovia em linha reta, uma árvore foi plantada a 15 metros de um ponto de ônibus. Depois, a cada 10 metros, a partir dessa primeira árvore, no sentido em que se afasta do ponto de ônibus, foram sendo plantadas outras árvores.
A distância da sexta árvore ao ponto de ônibus é
Provas
Caderno Container