Foram encontradas 203 questões.
Observe o carregamento abaixo e responda à questão de número 43.

A máxima tensão de compressão atuante na viga de seção transversal retangular (12 cm x 20 cm), submetida ao carregamento, em kgf/cm2 , é igual a:
Provas

Provas
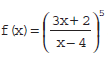
A derivada da função
é igual a:
Provas
A área da região limitada pela curva y= -x2 + 4x , pelo eixo x e pelas retas x= 2 e x= 3, vale
Provas
Na alimentação de energia elétrica de um edifício, a instalação de uma caixa seccionadora entre o ramal de entrada de energia e a caixa distribuidora, tem por finalidade:
Provas
De acordo com a NBR-5626/98, que estabelece as exigências e recomendações para projeto, execução e manutenção de instalações prediais de água fria, a pressão de água em condições estáticas, em qualquer ponto de utilização da rede predial de distribuição, não deve ser superior, em kPa, a:
Provas
De acordo com a NBR-8160/99, que estabelece as exigências e recomendações para projeto e execução de sistemas prediais de esgoto sanitário, a tubulação que recebe diretamente os efluentes de aparelhos sanitários denomina-se:
Provas
Considere a instalação abaixo, e responda à questão de número 36.

Em uma instalação hidráulica, a perda de carga unitária (J), em metros de coluna d'água por metro de tubulação, é igual a 0,10. Os trechos R-C e B-A da instalação são verticais e o trecho C-B é horizontal. Considerando-se desprezíveis as perdas de carga localizadas, as pressões estática e dinâmica no ponto A da instalação hidráulica, valem, em kPa, respectivamente (adotar: 1 kgf /m2 = 10 Pa e peso específico da água = 1000 kgf /m3):
Provas
Ao intervalo de tempo que o concreto leva para exalar quase toda a água existente em seu interior, dá-se o nome de:
Provas
Considere a execução de estruturas de concreto armado. Quando houver assistência permanente de engenheiro na obra e todos os materiais forem medidos em peso, sendo a umidade dos agregados e a relação água/cimento freqüentemente determinada por métodos precisos, dir-se-á que está sendo realizado controle tecnológico da qualidade do concreto executado no canteiro de obras do tipo:
Provas
Caderno Container