Foram encontradas 30 questões.
Disciplina: Engenharia Elétrica
Banca: SELECON
Orgão: Pref. Primavera Leste-MT
Um terminal pode ser soldado ao condutor ligado a um disjuntor:
Provas
Disciplina: Engenharia Elétrica
Banca: SELECON
Orgão: Pref. Primavera Leste-MT
Para medir a potência dissipada por uma lâmpada, um wattímetro deve ligar seus terminais de tensão e de corrente à ela, respectivamente em:
Provas
Disciplina: Engenharia Elétrica
Banca: SELECON
Orgão: Pref. Primavera Leste-MT
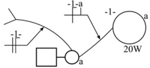
No circuito da figura 2, a fase alimenta apenas a lâmpada indicada. Considerando que a tensão entre fase e neutro é de 127V eficazes, a seção do condutor de fase, de acordo com a NBR 5410, é:
Provas
Disciplina: Engenharia Elétrica
Banca: SELECON
Orgão: Pref. Primavera Leste-MT
No trecho de projeto de instalação elétrica mostrado na figura 2, o interruptor “a” aciona uma lâmpada “a”.
Figura 2

No eletroduto que liga o interruptor à lâmpada, o condutor de retorno equivale ao condutor:
Provas
Disciplina: Engenharia Elétrica
Banca: SELECON
Orgão: Pref. Primavera Leste-MT
Em um circuito de uma instalação elétrica, ao utilizar um condutor cuja seção seja igual àquela exigida pela norma NBR 5410 e um disjuntor de maior capacidade para sua proteção:
Provas
Disciplina: Engenharia Elétrica
Banca: SELECON
Orgão: Pref. Primavera Leste-MT
A diferença entre controlar um ponto de iluminação em dois ou três locais diferentes está no uso de um interruptor:
Provas
Disciplina: Engenharia Elétrica
Banca: SELECON
Orgão: Pref. Primavera Leste-MT
Um ohmímetro foi ligado entre os pontos A e B no arranjo de resistores da figura 1.
Figura 1

A resistência medida pelo instrumento é de:
Provas
Disciplina: Engenharia Elétrica
Banca: SELECON
Orgão: Pref. Primavera Leste-MT
O solo das subestações é coberto por uma camada de brita de modo a:
Provas
Disciplina: Engenharia Elétrica
Banca: SELECON
Orgão: Pref. Primavera Leste-MT
Ao interligar duas caixas de passagem utilizando eletrodutos rígidos, a NBR5410 indica que a quantidade máxima de curvas de 90° seja:
Provas
Disciplina: Engenharia Elétrica
Banca: SELECON
Orgão: Pref. Primavera Leste-MT
O fator de demanda de uma instalação elétrica é determinado pela razão entre a potência utilizada e a potência:
Provas
Caderno Container