Foram encontradas 70 questões.
Algumas condições genéticas, embora apresentem mecanismos de herança de natureza essencialmente mendeliana, são atípicas.
Nas condições genéticas listadas a seguir, a antecipação genética é uma característica comum, à exceção de uma. Assinale-a.
Provas
Em relação às doenças cromossômicas do recém nascido, analise as afirmativas a seguir.
I. Na Síndrome de Patau, o cromossomo 13 extra é mais comumente materno.
II. Na Síndrome de Edwards, o cromossomo 18 extra é mais comumente materno.
III. Nas triploidias, no início da gravidez, o conjunto de cromossomos adicionais é mais comumente materno.
Assinale:
Provas
Com relação ao risco de uma gravidez, assinale V para a alternativa verdadeira e F para a falsa.
( ) A consanguinidade parental aumenta o risco de doenças genéticas monogênicas.
( ) A origem étnica aumenta o risco de doenças genéticas por alterações cromossômicas.
( ) A idade materna elevada aumenta o risco de doenças genéticas monogênicas.
As afirmativas são, respectivamente,
Provas
Diabetes mellitus, tipo 2, comum no adulto, síndrome do miado de gato (Cri-du-chat) e fibrose cística são distúrbios genéticos classificados, respectivamente, como
Provas
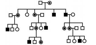
Analise o heredograma a seguir.

O padrão de herança mendeliana apresentado no heredograma acima (onde os símbolos escuros representam pessoas afetadas e os símbolos com ponto, portadores assintomáticos) é característico de uma doença de:
Provas
Com relação ao câncer de mama hereditário, analise as afirmativas a seguir.
I. Os genes BRCA1 e BRCA2 estão envolvidos no reparo do DNA.
II. Câncer de mama em homem, em uma família com história familiar de câncer de mama, tem uma chance maior de ser devido a uma mutação no gene BRCA2 do que no gene BRCA1.
III. Portadores de mutação em BRCA1 tem um maior risco de desenvolver melanoma maligno e câncer de pâncreas, quando comparados a portadores de mutação em BRCA2.
Assinale:
Provas
Em relação a genes supressores de tumor, assinale a opção incorreta.
Provas
Um homem de 45 anos foi recentemente diagnosticado com adenocarcinoma invasivo no cólon proximal. Na colonoscopia foram encontrados 6 pólipos adenomatosos. Durante o aconselhamento genético, o paciente relata que sua mãe morreu aos 50 anos de câncer de ovário; sua irmã mais velha foi diagnosticada com câncer colorretal (CCR) aos 50 anos; e que tem 3 outros irmãos e uma irmã vivos e saudáveis, que nunca fizeram colonoscopia.
A história familiar do lado paterno não é conhecida e seu pai morreu aos 75 anos de acidente cerebrovascular. De acordo com a história relatada, o diagnóstico mais provável para esta família é
Provas
O número de genes do genoma humano está aproximadamente na faixa de
Provas
Assinale a opção que indica o percentual de genes em comum entre uma mulher e a irmã de sua bisavó.
Provas
Caderno Container