Foram encontradas 919 questões.
1944479
Ano: 2020
Disciplina: TI - Desenvolvimento de Sistemas
Banca: AOCP
Orgão: Pref. Novo Hamburgo-RS
Disciplina: TI - Desenvolvimento de Sistemas
Banca: AOCP
Orgão: Pref. Novo Hamburgo-RS
- Fundamentos de ProgramaçãoFunções, Métodos e Procedimentos
- Fundamentos de ProgramaçãoPassagem de Parâmetros
Assinale a alternativa que apresenta a
denominação de uma passagem de
parâmetro a um procedimento em que tal
procedimento de um programa é
chamado, recebendo a sua própria cópia
dos parâmetros passados.
Provas
Questão presente nas seguintes provas
1944478
Ano: 2020
Disciplina: TI - Desenvolvimento de Sistemas
Banca: AOCP
Orgão: Pref. Novo Hamburgo-RS
Disciplina: TI - Desenvolvimento de Sistemas
Banca: AOCP
Orgão: Pref. Novo Hamburgo-RS
Relacione as colunas e assinale a
alternativa com a sequência correta.
1. Inteiro. 2. Real. 3. Cadeia. 4. Lógicos.
( ) Dados numéricos positivos ou negativos, exceto valor fracionário.
( ) Caracteres delimitados por aspas representados por letras e símbolos.
( ) Dados numéricos positivos ou negativos, incluindo valor fracionário.
( ) Valores com dados binários.
1. Inteiro. 2. Real. 3. Cadeia. 4. Lógicos.
( ) Dados numéricos positivos ou negativos, exceto valor fracionário.
( ) Caracteres delimitados por aspas representados por letras e símbolos.
( ) Dados numéricos positivos ou negativos, incluindo valor fracionário.
( ) Valores com dados binários.
Provas
Questão presente nas seguintes provas
1944477
Ano: 2020
Disciplina: TI - Desenvolvimento de Sistemas
Banca: AOCP
Orgão: Pref. Novo Hamburgo-RS
Disciplina: TI - Desenvolvimento de Sistemas
Banca: AOCP
Orgão: Pref. Novo Hamburgo-RS
- Fundamentos de ProgramaçãoAlgoritmosAlgoritmos de OrdenaçãoQuick Sort
- Fundamentos de ProgramaçãoComplexidade
Assinale a alternativa que apresenta o
tempo de execução do pior caso e do
melhor caso para o algoritmo
quicksort
ou ordenação rápida.
Provas
Questão presente nas seguintes provas
1944476
Ano: 2020
Disciplina: TI - Desenvolvimento de Sistemas
Banca: AOCP
Orgão: Pref. Novo Hamburgo-RS
Disciplina: TI - Desenvolvimento de Sistemas
Banca: AOCP
Orgão: Pref. Novo Hamburgo-RS
- Fundamentos de ProgramaçãoEstruturas de DadosDefinição: Estrutura de Dados
- Fundamentos de ProgramaçãoTipos de Dados
Quando uma estrutura de dados envolve a utilização de mais de um tipo básico de dado,
denomina-se
Provas
Questão presente nas seguintes provas
1944475
Ano: 2020
Disciplina: TI - Desenvolvimento de Sistemas
Banca: AOCP
Orgão: Pref. Novo Hamburgo-RS
Disciplina: TI - Desenvolvimento de Sistemas
Banca: AOCP
Orgão: Pref. Novo Hamburgo-RS
- Fundamentos de ProgramaçãoEstruturas de DadosDefinição: Estrutura de Dados
- Fundamentos de ProgramaçãoEstruturas de DadosComparação entre Estruturas de Dados
- Fundamentos de ProgramaçãoEstruturas de DadosEstrutura de Dados: Array
- Fundamentos de ProgramaçãoEstruturas de DadosEstrutura de Dados: Matriz
Uma estrutura de dados representada por
um arranjo bi ou multidimensional de
alocação estática e sequencial é
conhecida como
Provas
Questão presente nas seguintes provas
1944474
Ano: 2020
Disciplina: TI - Desenvolvimento de Sistemas
Banca: AOCP
Orgão: Pref. Novo Hamburgo-RS
Disciplina: TI - Desenvolvimento de Sistemas
Banca: AOCP
Orgão: Pref. Novo Hamburgo-RS
Os estereótipos são usados para
classificar quase todos os elementos
UML. Embora sejam na maioria
opcionais, ajudam na compreensão dos
diagramas, fornecendo um agrupamento
de alto nível para elementos no diagrama.
Sabendo disso, assinale a alternativa que
apresenta, respectivamente, os ícones
dos estereótipos de (1) fronteira ou visão,
(2) controle e (3) entidade.
Provas
Questão presente nas seguintes provas
1944473
Ano: 2020
Disciplina: TI - Desenvolvimento de Sistemas
Banca: AOCP
Orgão: Pref. Novo Hamburgo-RS
Disciplina: TI - Desenvolvimento de Sistemas
Banca: AOCP
Orgão: Pref. Novo Hamburgo-RS
Um analista de sistemas necessita criar
uma representação de um ator abstrato
em um diagrama de caso de uso na UML
(Unified Modelling Language). Assinale a
alternativa que apresenta a
representação dessa criação.
Provas
Questão presente nas seguintes provas
1944472
Ano: 2020
Disciplina: TI - Desenvolvimento de Sistemas
Banca: AOCP
Orgão: Pref. Novo Hamburgo-RS
Disciplina: TI - Desenvolvimento de Sistemas
Banca: AOCP
Orgão: Pref. Novo Hamburgo-RS
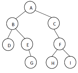
Analise a seguinte árvore binária e assinale a alternativa correta.
Provas
Questão presente nas seguintes provas
1944471
Ano: 2020
Disciplina: TI - Desenvolvimento de Sistemas
Banca: AOCP
Orgão: Pref. Novo Hamburgo-RS
Disciplina: TI - Desenvolvimento de Sistemas
Banca: AOCP
Orgão: Pref. Novo Hamburgo-RS
Considerando os aspectos básicos de
um projeto Android, assinale a alternativa
correta.
Provas
Questão presente nas seguintes provas
1944470
Ano: 2020
Disciplina: TI - Desenvolvimento de Sistemas
Banca: AOCP
Orgão: Pref. Novo Hamburgo-RS
Disciplina: TI - Desenvolvimento de Sistemas
Banca: AOCP
Orgão: Pref. Novo Hamburgo-RS
Sobre a classe R.java para
desenvolvimento de aplicativos Android,
é correto afirmar que
Provas
Questão presente nas seguintes provas
Cadernos
Caderno Container