Foram encontradas 1.085 questões.
Em topografia, o azimute de uma direção consiste no ângulo
medido no sentido:
Provas
Questão presente nas seguintes provas
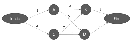
A figura a seguir ilustra uma rede PERT/COM, onde os números em cada arco indicam a duração, em semanas, de cada processo que faz com que o sistema transite entre os estados inicial e final, passando pelos estados A, B, C e D.

O caminho crítico dessa rede é:

O caminho crítico dessa rede é:
Provas
Questão presente nas seguintes provas
O disjuntor de norma IEC ou DIN, tipicamente utilizado para
proteção de circuitos com baixa intensidade característica de
cargas resistivas, é aquele com curva de atuação denominada:
Provas
Questão presente nas seguintes provas
Um SPDA consiste em um sistema externo e outro interno
para proteção contra descargas atmosféricas. É função do
sistema interno:
Provas
Questão presente nas seguintes provas
Em contratos da Administração Pública, algumas cláusulas
devem estar sempre presentes. Outras cláusulas são exigidas a
critério da autoridade competente, como :
Provas
Questão presente nas seguintes provas
Um engenheiro civil da Prefeitura de Nova Mutum está
encarregado de realizar o processo licitatório para contratação de
uma empresa que irá executar uma obra de engenharia com
custo estimado em R$3.000.000,00 (três milhões de reais).
Nessa condição, o processo deve ser realizado na modalidade:
Provas
Questão presente nas seguintes provas
De acordo com a Norma Regulamentadora (NR) 18, é
obrigatória a instalação de proteção contra queda de
trabalhadores e projeção de materiais, na periferia da edificação,
a partir do início dos serviços necessários à concretagem da
primeira laje. Essa proteção, quando constituída por anteparos
rígidos com fechamento total do vão, deve ter altura mínima de:
Provas
Questão presente nas seguintes provas
Algumas despesas são comuns na execução de obras civis.
Dentre elas, aquela que se caracteriza como um custo direto da
obra é:
Provas
Questão presente nas seguintes provas
Durante a execução de uma obra civil, é frequente a
necessidade de registrar fatos, observações e anotações
relevantes no “Registro de Ocorrências” da obra. A guarda
desses registros, na obra, é responsabilidade do:
Provas
Questão presente nas seguintes provas
A instalação de esgoto sanitário de uma edificação
residencial é apresentada na figura a seguir junto com tabelas
que indicam as unidades Hunter de contribuição de cada
aparelho.

Nessa instalação, supondo que o ramal de descarga do vaso sanitário não pode ser reduzido, o diâmetro de TQ1 é de:

Nessa instalação, supondo que o ramal de descarga do vaso sanitário não pode ser reduzido, o diâmetro de TQ1 é de:
Provas
Questão presente nas seguintes provas
Cadernos
Caderno Container