Foram encontradas 60 questões.
Considere a P.A (38, 42. 46 ...). Então, é CORRETO afirmar que a soma de seus dez primeiros termos é
Provas
Questão presente nas seguintes provas
Ao se estudar o sinal de y = x2 - 5x + 6, pode-se concluir que
Provas
Questão presente nas seguintes provas
Ao se racionalizar os denominadores da fração 4/√3-1, encontra-se a resposta
Provas
Questão presente nas seguintes provas
Sendo Z1 = 1 + 2i e Z2 = 2 + 5i, é CORRETO afirmar que Z1/Z2 é
Provas
Questão presente nas seguintes provas
A quantidade aproximada de metal, em m², gasta para se produzir um reservatório de água totalmente fechado,
como o do projeto a seguir, é


Provas
Questão presente nas seguintes provas
Em uma confecção, 8 costureiras, em 5 horas de trabalho, produzem 20 blusas. Considerando a mesma
produtividade, quantas blusas 4 costureiras produzem em 960 minutos?
Provas
Questão presente nas seguintes provas
Considere
O par ordenado que torna esse sistema verdadeiro é
O par ordenado que torna esse sistema verdadeiro é
Provas
Questão presente nas seguintes provas
Uma pesquisa de mercado ouviu 180 pessoas sobre a preferência entre dois produtos, A e B, e concluiu que
• 108 pessoas gostam do produto A;
• 60 pessoas gostam do produto B;
• X pessoas gostam de A e B, ao mesmo tempo;
• 27 pessoas não gostam do produto A e nem do produto B.
Assim, pode-se concluir que o número de pessoas que gostam do produto A e B é
• 108 pessoas gostam do produto A;
• 60 pessoas gostam do produto B;
• X pessoas gostam de A e B, ao mesmo tempo;
• 27 pessoas não gostam do produto A e nem do produto B.
Assim, pode-se concluir que o número de pessoas que gostam do produto A e B é
Provas
Questão presente nas seguintes provas
Considere que
Então, é CORRETO afirmar que log6 90 é aproximadamente
Então, é CORRETO afirmar que log6 90 é aproximadamente
Provas
Questão presente nas seguintes provas
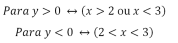
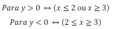
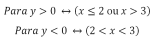
Dado que f(x) = x+1/x2-9x+20, pode-se afirmar que o domínio de f (x) é:
Provas
Questão presente nas seguintes provas
Cadernos
Caderno Container