Foram encontradas 830 questões.
O campo magnético é a região do
espaço onde se manifesta a ação de forças magnéticas
sobre materiais ou partículas carregadas em movimento. Sua representação gráfica é feita por meio das
linhas de indução magnética, também chamadas de linhas de fluxo magnético, que descrevem o comportamento espacial desse campo. Considere as seguintes
afirmações sobre as propriedades das linhas de campo
magnético, e assinale a alternativa correta:
I. as linhas de campo magnético são fechadas, saem e voltam a um mesmo ponto;
II. as linhas de campo nunca se cruzam, pois em cada ponto do espaço o vetor campo magnético possui uma direção e sentido bem definidos:
III. a densidade de linhas indica a intensidade do campo magnético, regiões com mais linhas por unidade de área possuem campo mais intenso;
IV. as linhas de campo saem e entram na direção paralela às superfícies dos polos.
I. as linhas de campo magnético são fechadas, saem e voltam a um mesmo ponto;
II. as linhas de campo nunca se cruzam, pois em cada ponto do espaço o vetor campo magnético possui uma direção e sentido bem definidos:
III. a densidade de linhas indica a intensidade do campo magnético, regiões com mais linhas por unidade de área possuem campo mais intenso;
IV. as linhas de campo saem e entram na direção paralela às superfícies dos polos.
Provas
Questão presente nas seguintes provas
Sobre a potência elétrica, analiseas afirmações a seguir e assinale a alternativa correta:
I. a potência elétrica representa a taxa com que a energiaelétrica é transformada em outra forma de energia, comocalor, luz ou movimento, em determinado intervalo detempo;
II. a potência instantânea em um circuito é dada por p(t) =v(t) ⋅ i(t);
III. a unidade de potência elétrica no Sistema Internacional é o volt.ampère (VA), que equivale numericamente, sempre, a um watt (W);
IV. em corrente contínua, a potência dissipada em um resistor é calculada por P = V/I
I. a potência elétrica representa a taxa com que a energiaelétrica é transformada em outra forma de energia, comocalor, luz ou movimento, em determinado intervalo detempo;
II. a potência instantânea em um circuito é dada por p(t) =v(t) ⋅ i(t);
III. a unidade de potência elétrica no Sistema Internacional é o volt.ampère (VA), que equivale numericamente, sempre, a um watt (W);
IV. em corrente contínua, a potência dissipada em um resistor é calculada por P = V/I
Provas
Questão presente nas seguintes provas
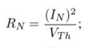
O Teorema de Norton estabelece
uma equivalência direta com o Teorema de Thévenin,
na qual a corrente de Norton (IN), a tensão de
Thévenin (VTh) e a resistência equivalente (RTh = RN)
estão relacionadas por:
Provas
Questão presente nas seguintes provas
Em um circuito puramente resistivo alimentado por uma fonte senoidal de tensão, a
relação entre tensão e corrente é:
Provas
Questão presente nas seguintes provas
No circuito abaixo, determine acorrente ix e a tensão vx no resistor de 4Ω:

Provas
Questão presente nas seguintes provas
Analise as afirmativas a seguir e
assinale a alternativa correta referente aos elementos
de um circuito elétrico:
I. resistor: é o bipolo para o qual existe uma relação funcional f(v,i,t) = 0 entre a tensão (v) em seus terminais, a corrente (i) que o atravessa e o tempo (t). Se essa relação não depende explicitamente de t, o resistor é dito fixo (invariante no tempo); caso contrário, é variável no tempo;
II. capacitor: é o bipolo capaz de armazenar carga elétrica, de modo que a carga q(t) armazenada no instante t depende apenas da tensão v(t) aplicada aos seus terminais (convenção do receptor);
III. indutor: é o bipolo que pode armazenar energia magnética, associada à corrente que o atravessa;
IV. fonte: é um bipolo passivo cuja tensão e corrente dependem unicamente do elemento conectado aos seus terminais, tendo como função principal armazenar energia elétrica.
I. resistor: é o bipolo para o qual existe uma relação funcional f(v,i,t) = 0 entre a tensão (v) em seus terminais, a corrente (i) que o atravessa e o tempo (t). Se essa relação não depende explicitamente de t, o resistor é dito fixo (invariante no tempo); caso contrário, é variável no tempo;
II. capacitor: é o bipolo capaz de armazenar carga elétrica, de modo que a carga q(t) armazenada no instante t depende apenas da tensão v(t) aplicada aos seus terminais (convenção do receptor);
III. indutor: é o bipolo que pode armazenar energia magnética, associada à corrente que o atravessa;
IV. fonte: é um bipolo passivo cuja tensão e corrente dependem unicamente do elemento conectado aos seus terminais, tendo como função principal armazenar energia elétrica.
Provas
Questão presente nas seguintes provas
3954257
Ano: 2025
Disciplina: Agronomia (Engenharia Agronômica)
Banca: URCA
Orgão: Pref. Mauriti-CE
Disciplina: Agronomia (Engenharia Agronômica)
Banca: URCA
Orgão: Pref. Mauriti-CE
Provas:
São princípios da Política Nacional de Assistência Técnica e Extensão Rural (PNATER)
para a Agricultura Familiar e Reforma Agrária, exceto:
Provas
Questão presente nas seguintes provas
3954256
Ano: 2025
Disciplina: Agronomia (Engenharia Agronômica)
Banca: URCA
Orgão: Pref. Mauriti-CE
Disciplina: Agronomia (Engenharia Agronômica)
Banca: URCA
Orgão: Pref. Mauriti-CE
Provas:
A manipueira é um líquido leitoso
de coloração amarelo-claro obtida a partir do processamento da mandioca. O aproveitamento da manipueira
pode ter várias finalidades, contudo, seu uso é vedado:
Provas
Questão presente nas seguintes provas
3954255
Ano: 2025
Disciplina: Agronomia (Engenharia Agronômica)
Banca: URCA
Orgão: Pref. Mauriti-CE
Disciplina: Agronomia (Engenharia Agronômica)
Banca: URCA
Orgão: Pref. Mauriti-CE
Provas:
O crédito rural destina recursos a
operações de crédito para produtores e agricultores familiares. Segundo a Lei nº 4.829/1965 são finalidades
do crédito rural, exceto:
Provas
Questão presente nas seguintes provas
3954254
Ano: 2025
Disciplina: Agronomia (Engenharia Agronômica)
Banca: URCA
Orgão: Pref. Mauriti-CE
Disciplina: Agronomia (Engenharia Agronômica)
Banca: URCA
Orgão: Pref. Mauriti-CE
Provas:
As principais doenças sob controle oficial do Programa Nacional de Sanidade Avícola
(PNSA) são as listadas a seguir, exceto:
Provas
Questão presente nas seguintes provas
Cadernos
Caderno Container