Magna Concursos

Foram encontradas 40 questões.

1213701 Ano: 2004
Disciplina: Informática
Banca: CESGRANRIO
Orgão: Pref. Manaus-AM
O enunciado abaixo é comum às questões 33 e 34.
enunciado 1213701-1
O valor a ser apresentado na célula B8, se digitarmos a fórmula =SOMA(B3:B7) nesta célula, é:
 

Provas

Questão presente nas seguintes provas
1213700 Ano: 2004
Disciplina: Informática
Banca: CESGRANRIO
Orgão: Pref. Manaus-AM
O Microsoft Office Professional 97 é composto por uma série de produtos. Um produto que NÃO pertence ao Microsoft Office Professional 97 é:
 

Provas

Questão presente nas seguintes provas
1213699 Ano: 2004
Disciplina: TI - Redes de Computadores
Banca: CESGRANRIO
Orgão: Pref. Manaus-AM
As figuras abaixo ilustram dois tipos de topologia de rede.

enunciado 1213699-1
enunciado 1213699-2

As topologias 1 e 2 são conhecidas, respectivamente, como:
 

Provas

Questão presente nas seguintes provas
1213698 Ano: 2004
Disciplina: TI - Redes de Computadores
Banca: CESGRANRIO
Orgão: Pref. Manaus-AM
As redes locais de computadores são também conhecidas como:
 

Provas

Questão presente nas seguintes provas
1213697 Ano: 2004
Disciplina: TI - Desenvolvimento de Sistemas
Banca: CESGRANRIO
Orgão: Pref. Manaus-AM
Considere a sub-rotina abaixo para responder
às questões 20 e 21.

enunciado 1213697-1
A sub-rotina acima utiliza a expressão "declare" para declarar variáveis utilizadas no algoritmo. Em Visual Basic 6.0, a expressão "declare" seria implementada por:
 

Provas

Questão presente nas seguintes provas
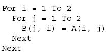
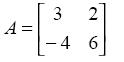
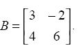
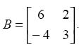
1213696 Ano: 2004
Disciplina: TI - Desenvolvimento de Sistemas
Banca: CESGRANRIO
Orgão: Pref. Manaus-AM
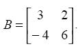
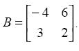
Um Analista de Sistemas recebeu a tarefa de implementar uma sub-rotina que, a partir de uma matriz de entrada "A", gerasse uma outra matriz de saída "B". Um pedaço desta sub-rotina, implementada em Visual Basic 6.0, está apresentado abaixo.
enunciado 1213696-1
Considere a matriz A = (aij) de dimensão 2 x 2, a seguir, onde aij são os elementos da matriz A.
enunciado 1213696-2
Nesta matriz, por exemplo, o elemento a11 possui o valor 3. A matriz "B" resultante da execução do algoritmo acima, tendo a matriz "A" como entrada, é:
 

Provas

Questão presente nas seguintes provas
1213695 Ano: 2004
Disciplina: TI - Desenvolvimento de Sistemas
Banca: CESGRANRIO
Orgão: Pref. Manaus-AM
O enunciado abaixo é comum às questões de 16 a 19.

Um Analista de Sistemas recebeu a tarefa de modelar um
pequeno sistema para controlar os pedidos de produtos
feitos pela empresa na qual trabalha. Para realizar suas
atividades o Analista escolheu utilizar diagramas empregados
na análise estruturada.

A figura abaixo apresenta o DFD (Diagrama de Fluxo de
Dados) parcial por ele elaborado.
enunciado 1213695-1
Sobre o DFD são feitas as três afirmativas a seguir.

I - "Vendedor" é uma entidade externa.
II - "Cadastrar Solicitação" é um processo.
III - As setas do diagrama indicam a direção do fluxo de dados.

Está(ão) correta(s) a(s) afirmativa(s):
 

Provas

Questão presente nas seguintes provas
1213694 Ano: 2004
Disciplina: TI - Desenvolvimento de Sistemas
Banca: CESGRANRIO
Orgão: Pref. Manaus-AM
O enunciado abaixo é comum às questões de 16 a 19.

Um Analista de Sistemas recebeu a tarefa de modelar um
pequeno sistema para controlar os pedidos de produtos
feitos pela empresa na qual trabalha. Para realizar suas
atividades o Analista escolheu utilizar diagramas empregados
na análise estruturada.

A figura abaixo apresenta o DFD (Diagrama de Fluxo de
Dados) parcial por ele elaborado.
enunciado 1213694-1
Nesse DFD o item de dados "solicitação" é composto pelo número do pedido (num_pedido), número do cliente (num_cliente), pela descrição do pedido (descrição_pedido) e pelo endereço de entrega (endereço_entrega). O número do pedido, o número do cliente e a descrição do pedido são obrigatórios e o endereço de entrega é opcional. A partir destas informações, assinale a opção que representa a definição do item de dados "solicitação" no dicionário de dados elaborado pelo Analista.
 

Provas

Questão presente nas seguintes provas
1213693 Ano: 2004
Disciplina: TI - Desenvolvimento de Sistemas
Banca: CESGRANRIO
Orgão: Pref. Manaus-AM
O enunciado abaixo é comum às questões de 16 a 19.

Um Analista de Sistemas recebeu a tarefa de modelar um
pequeno sistema para controlar os pedidos de produtos
feitos pela empresa na qual trabalha. Para realizar suas
atividades o Analista escolheu utilizar diagramas empregados
na análise estruturada.

A figura abaixo apresenta o DFD (Diagrama de Fluxo de
Dados) parcial por ele elaborado.
enunciado 1213693-1
A partir do DFD definido, o Analista elaborou o DER (Diagrama de Entidade-Relacionamento) abaixo.
enunciado 1213693-2
Quantas entidades o DER acima possui?
 

Provas

Questão presente nas seguintes provas
1213692 Ano: 2004
Disciplina: TI - Desenvolvimento de Sistemas
Banca: CESGRANRIO
Orgão: Pref. Manaus-AM
Considere a sub-rotina abaixo para responder
às questões 20 e 21.

enunciado 1213692-1
Com base no algoritmo acima, e supondo que o valor fornecido para "A" na linha "leia A" seja 3 e o valor fornecido para "B" na linha "leia B" seja 4, pode-se afirmar que o valor da variável "C" na linha "escreva C" é:
 

Provas

Questão presente nas seguintes provas