Foram encontradas 496 questões.
O leite materno tem nutrientes que, mesmo em pequenas quantidades, suprem as necessidades do bebê, por sua melhor absorção no organismo. Considerando-se a composição do leite materno, assinalar a alternativa que preenche a lacuna abaixo CORRETAMENTE:
O(A) é o principal carboidrato do leite humano e fornece 40% das necessidades de energia.
Provas
São patologias que podem influenciar o metabolismo da vitamina A:
I. Diarreia aguda.
II. Infecção respiratória.
III. Sarampo.
Estão CORRETOS:
Provas
Provas
Provas
De acordo com o Código de Ética e de Conduta do Nutricionista, assinalar a alternativa que preenche CORRETAMENTE a lacuna abaixo:
É nutricionista colaborar com as autoridades sanitárias e de fiscalização profissional, prestando as informações requeridas.
Provas
Disciplina: Engenharia Elétrica
Banca: OBJETIVA
Orgão: Pref. Lavras Sul-RS
Provas
Disciplina: Engenharia Elétrica
Banca: OBJETIVA
Orgão: Pref. Lavras Sul-RS
Provas
Disciplina: Engenharia Elétrica
Banca: OBJETIVA
Orgão: Pref. Lavras Sul-RS
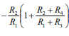
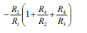
A figura abaixo apresenta um circuito muito utilizado para amplificar sinais de fotodiodos. Uma das principais vantagens é a possibilidade de obtenção de elevados ganhos de tensão com resistores menores se comparados às configurações clássicas inversora e não inversora.

Se os componentes do circuito forem considerados ideais, a expressão que corresponde ao ganho de tensão Vo/Vi é:
Provas
Disciplina: Engenharia Elétrica
Banca: OBJETIVA
Orgão: Pref. Lavras Sul-RS
Provas
Disciplina: Engenharia Elétrica
Banca: OBJETIVA
Orgão: Pref. Lavras Sul-RS
Assinalar a alternativa que preenche a lacuna abaixo CORRETAMENTE:
Dentre os motores do tipo assíncronos, os mais robustos, mais importantes e mais comumente usados são os .
Provas
Caderno Container