Foram encontradas 40 questões.
Um usuário, navegando na internet por meio do Google Chrome, versão 111, em sua configuração padrão, estava com várias guias abertas em uma janela e, por precisar sair rapidamente para um compromisso, queria adicionar todas as guias aos favoritos, de uma só vez. Essa funcionalidade de adicionar todas as guias aos favoritos de uma só vez pode ser acionada pelo atalho por teclado
Provas
Um usuário possui uma imagem jpg de um gráfico, que preparou previamente a respeito de uma análise epidemiológica, salva em uma pasta local de seu computador. E por meio do MS-PowerPoint 2016, em sua configuração padrão, está preparando uma apresentação e deseja incluir a imagem do gráfico em um slide. Para fazer isso, deve utilizar o ícone
Provas
Ao preparar um longo documento por meio do MS-Word 2016, em sua configuração padrão, um usuário inseriu uma quebra de seção, fazendo com que a nova seção iniciasse na mesma página. Essa quebra de seção é chamada de
Provas
Observe a planilha a seguir, elaborada por meio do MS-Excel 2016, em sua configuração padrão, para auxiliar tomadas de decisão sobre uma determinada doença.
◢ | A | B | C | D |
1 | Taxa de transmissão para intervenção: | 1,1 | ||
2 | ||||
3 | Localidade | Taxa atual | Intervir? | |
4 | Local A | 1,3 | Sim | |
5 | Local B | 1,08 | Não | |
6 | Local C | 1,5 | Sim | |
Na célula D1 foi digitado um valor para a taxa de transmissão que demanda intervenção. Nas linhas 4 a 6 foram digitadas algumas localidades, com suas respectivas taxas atuais de transmissão nas colunas A e B. Por sua vez, na coluna C, foi adicionada uma fórmula em C4 e, arrastando a alça de preenchimento de C4, foram preenchidas as fórmulas nas células C5 e C6.
Assinale a alternativa que apresenta a fórmula correta adicionada em C4, que representa corretamente a descrição do enunciado e os valores exibidos na imagem.
Provas
Um Analista em Vigilância Epidemiológica possui em seu computador com MS-Windows 10, em sua configuração padrão, um conjunto de arquivos de texto, fotos, gráficos, entre outros, que serão usados para a elaboração de um relatório técnico. O analista, por meio do Explorador de Arquivos, selecionou tal conjunto de arquivos, clicou com o botão secundário do mouse e, no menu de contexto aberto, escolheu as opções necessárias para criar uma pasta compactada contendo todos os arquivos (Enviar para e Pasta compactada).
No MS-Windows 10, a pasta compactada resultante da descrição do enunciado possui, por padrão, o tipo
Provas
Nos projetos desenhados pelo programa AutoCAD, quando se deseja criar um arredondamento entre duas linhas que se interceptam ou entre cantos de uma Polyline, com raio determinado pelo usuário, utiliza-se o comando
Provas
Uma das atividades da manutenção predial, com a finalidade de preservação da qualidade da água, é a verificação da simultaneidade da operação das válvulas redutoras de pressão montadas em estações redutoras de pressão, que deve ser feita em periodicidade
Provas
Para orçar o custo do lançamento do metro cúbico de concreto usinado nas formas de uma estrutura, foram considerados os seguintes insumos: 1,5 h de pedreiro (R$ 16,00/h), 1,5 h de servente de pedreiro (R$ 12,00/h), 1,1 m3 de concreto usinado (R$ 600,00/m3), 1,0 h de vibrador (R$ 8,00/h). Considerando o percentual de encargos sociais e trabalhistas de 125% e o BDI de 28% praticado pela construtora, o preço do metro cúbico desse serviço é
Provas
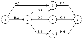
A reforma de um apartamento foi planejada conforme o cronograma PERT-CPM da figura, no qual as atividades são representadas por letras, seguidas de sua duração em semanas.

Para garantir a entrega da obra no tempo planejado, uma das atividades que não pode atrasar é aquela representada pela letra
Provas
No projeto e dimensionamento de vigas de concreto armado, as armaduras de flexão podem ser emendadas por traspasse, desde que o diâmetro máximo da barra seja
Provas
Caderno Container