Foram encontradas 60 questões.
Assinale a alternativa que apresenta qual o
valor que maximiza a função z = 3x + 4y, sujeito
a: (i) x + y ≤ 6; (ii) x ≤ 4; (iii) y ≤ 4 e (iv) x,y ≥ 0.
Provas
Questão presente nas seguintes provas
Considerando a matriz
assinale
a alternativa que apresenta a matriz inversa.
Provas
Questão presente nas seguintes provas
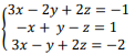
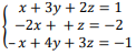
Assinale a alternativa em que o sistema é possível e determinado:
Provas
Questão presente nas seguintes provas
A dinâmica de entrada e saída de uma
população é importante para a caracterização
demográfica de uma localidade. Assinale a
alternativa que apresenta como esta dinâmica é
chamada.
Provas
Questão presente nas seguintes provas
A população brasileira cresceu muito nos
últimos anos, havendo uma “explosão
demográfica” registrada pelas altas taxas de
natalidade. Contudo, os índices vêm
diminuindo, contribuindo para uma mudança no
perfil demográfico. Além disso, as taxas de
mortalidade também diminuíram
sensivelmente, o que significa melhoria da
qualidade de vida da população. Sobre estas
reduções, analise as afirmativas a seguir e dê
valores Verdadeiro (V) ou Falso (F).
( ) Estas reduções podem ser explicadas pelo modo de vida urbano, onde os casais têm menos filhos do que no meio rural. ( ) Estas reduções podem ser explicadas pela adoção de políticas públicas visando o planejamento familiar. ( ) As reduções nas taxas de natalidade e mortalidade, além do aumento da população, contribuíram também para o seu envelhecimento.
Assinale a alternativa que apresenta a sequência correta de cima para baixo.
( ) Estas reduções podem ser explicadas pelo modo de vida urbano, onde os casais têm menos filhos do que no meio rural. ( ) Estas reduções podem ser explicadas pela adoção de políticas públicas visando o planejamento familiar. ( ) As reduções nas taxas de natalidade e mortalidade, além do aumento da população, contribuíram também para o seu envelhecimento.
Assinale a alternativa que apresenta a sequência correta de cima para baixo.
Provas
Questão presente nas seguintes provas
“A função ƒ (x) = x2-1 / x2+1 .”
Assinale a alternativa que preencha corretamente a lacuna.
Provas
Questão presente nas seguintes provas
Leia a seguinte afirmativa:
“A função ƒ (x) = (x + 1) 5 - 5x - 2 é uma função ”.
Assinale a alternativa que preencha corretamente a lacuna
Provas
Questão presente nas seguintes provas
No programa R, as funções dnorm(), pnorm(),
qnorm() e rnorm() com os respectivos
parâmetros para a distribuição normal, retorna
tais valores, respectivamente:
Provas
Questão presente nas seguintes provas
Assinale a alternativa que apresenta, no Excel,
por qual função é feito o cálculo de s2
Provas
Questão presente nas seguintes provas
Com relação ao valor-p, analise as afirmativas a
seguir e dê Valores Verdadeiro (V) ou Falso (F):
( ) O valor-p é a probabilidade de ter os resultados observados de um teste, assumindo que a hipótese nula está correta. ( ) O valor-p pode ser considerado como o nível de significância marginal dentro de um teste de hipótese estatística que representa a probabilidade da ocorrência de um determinado evento. ( ) O valor de p é usado como uma alternativa aos pontos de rejeição para fornecer o menor nível de significância no qual a hipótese nula seria rejeitada. ( ) Um valor de p menor significa que há uma evidência mais forte a favor da hipótese alternativa.
Assinale a alternativa que apresenta a sequência correta de cima para baixo:
( ) O valor-p é a probabilidade de ter os resultados observados de um teste, assumindo que a hipótese nula está correta. ( ) O valor-p pode ser considerado como o nível de significância marginal dentro de um teste de hipótese estatística que representa a probabilidade da ocorrência de um determinado evento. ( ) O valor de p é usado como uma alternativa aos pontos de rejeição para fornecer o menor nível de significância no qual a hipótese nula seria rejeitada. ( ) Um valor de p menor significa que há uma evidência mais forte a favor da hipótese alternativa.
Assinale a alternativa que apresenta a sequência correta de cima para baixo:
Provas
Questão presente nas seguintes provas
Cadernos
Caderno Container