Foram encontradas 2.369 questões.
Os espermatozoides são produzidos por espermatogênese nos testículos. Durante a espermatogênese ocorrem diferentes fases.
A fase de crescimento corresponde à(s)
Provas
LINHARES, S. et al. Biologia hoje. Volume 2. São Paulo: Ática, 2016. Adaptado. Com relação às angiospermas, analise as afirmativas a seguir.
I. São exemplos de monocotiledôneas: o arroz, a aveia, o abacaxi, o alho e as orquídeas.
II. Nas angiospermas, a planta propriamente dita é o gametófito. O esporófito é extremamente reduzido e se desenvolve dentro dos tecidos do gametófito.
III. Das angiospermas conhecidas, a minoria depende de animais polinizadores para produzir frutos.
Está correto o que se afirma em
Provas
É consenso entre todos os ecólogos que as comunidades estão sempre mudando. Algumas comunidades mostram mais dinamismo que outras. Por exemplo, é difícil imaginar que comunidades de desertos, com seus cactos grandes e estoicos, tenham mudado muito ao longo do tempo. Porém, não há dúvidas de que até mesmo os desertos mudam.
CAIN, Michael L.; BOWMAN, William D.; HACKER, Sally D. Ecologia. Editora Artmed, 3ª ed., 2018. Adaptado.
Com relação à sucessão ecológica, analise as afirmativas a seguir e assinale (V) para a verdadeira e (F) para a falsa.
( ) Sucessão ecológica é a mudança na composição de espécies ao longo do tempo em resposta a agentes de mudança abióticos e bióticos.
( ) A sucessão primária e a sucessão secundária diferem em seus estágios iniciais.
( ) Líquens são importantes na colonização de ambientes como a superfície de rochas.
As afirmativas são, respectivamente,
Provas
Entre mexilhões de água doce, existem embriões que são incubados entre as lamelas das brânquias de peixes, onde se desenvolvem em larvas véliger altamente modificadas.
Essas larvas conhecidas como gloquídios, fixam-se à pele ou às brânquias do peixe por meio de ganchos mucosos pegajosos ou outros dispositivos de fixação. A maioria dos gloquídios não tem trato digestivo e absorve nutrientes do peixe por meio de células fagocitárias especiais do manto. Em geral, os tecidos do peixe formam um cisto ao redor do gloquídio. Por fim, a larva se torna madura, rompe o cisto e inicia sua vida adulta.
BRUSCA, R.C., MOORE, W., SHUSTER, S. M. Invertebrados. Rio de Janeiro: Guanabara Koogan, 3ª ed. 2018. Adaptado.
A respeito da relação ecológica a qual o texto se refere, analise as afirmativas a seguir e assinale (V) para a verdadeira e (F) para a falsa.
( ) A redução da taxa de crescimento populacional das espécies de peixes é um possível dano provocado pelos gloquídios.
( ) A relação entre as larvas gloquídios e os peixes é interespecífica.
( ) A relação indicada no texto pode favorecer a dispersão dos mexilhões.
As afirmativas são, na ordem apresentada, respectivamente,
Provas
Analise a imagem a seguir.

Esse experimento foi realizado por
Provas
Analise a imagem a seguir.

Esta célula, pertencente a um organismo 2n=4, encontra-se na
Provas
Com relação aos processos de fermentação, analise os itens a seguir:
I. Na fermentação láctica, o piruvato é reduzido diretamente a ácido láctico e o saldo é de apenas duas moléculas de ATP, geradas durante a glicólise.
II. Na fermentação alcoólica, que ocorre em anaerobiose, o piruvato origina etanol e C02 .
III. A fermentação ocorre no citosol de bactérias. Já nas leveduras, o processo ocorre em parte no citosol e em parte na mitocôndria.
Está correto o que se afirma em
Provas
Provas
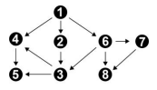
O esquema a seguir representa uma teia alimentar, onde os organismos que a compõem estão representados por números aleatórios.

Nessa teia,
Provas
- Identidade dos Seres Vivos
- Reino AnimalZoologiaZoologia InvertebradosEquinodermos, Cefalocordados e Urocordados
O filo Echinodermata representa o maior filo animal de espécies exclusivamente marinhas e inclui organismos como estrelas-domar, bolachas-da--praia, estrelas-serpentes, pepinos-do-mar, lírios-do--mar e ouriços-do-mar. Embora pareçam ter poucas características em comum com membros do filo Chordata, evidências de DNA indicam que os esses dois grupos são estreitamente relacionados.
Uma característica comum a equinodermos e cordados é a(o)
Provas
Caderno Container