Foram encontradas 50 questões.
1318016
Ano: 2015
Disciplina: TI - Desenvolvimento de Sistemas
Banca: CAIP-IMES
Orgão: Pref. Botucatu-SP
Disciplina: TI - Desenvolvimento de Sistemas
Banca: CAIP-IMES
Orgão: Pref. Botucatu-SP
Provas:
- Paradigmas de ProgramaçãoOrientação a ObjetosDefinição Técnica: Orientação a Objetos
- Paradigmas de ProgramaçãoOrientação a ObjetosOrientação a Objetos: Classes e Objetos
- Paradigmas de ProgramaçãoOrientação a ObjetosOrientação a Objetos: Construtores
Nas linguagens orientadas a objeto, a instanciação de um objeto usualmente se faz por meio da chamada de um método especialmente definido para essa finalidade. Esse método é chamado:
Provas
Questão presente nas seguintes provas
1309143
Ano: 2015
Disciplina: TI - Desenvolvimento de Sistemas
Banca: CAIP-IMES
Orgão: Pref. Botucatu-SP
Disciplina: TI - Desenvolvimento de Sistemas
Banca: CAIP-IMES
Orgão: Pref. Botucatu-SP
Provas:
Para se incluir código Javascript em uma página HTML, pode-se usar a tag:
Provas
Questão presente nas seguintes provas
- Banco de Dados RelacionalDependência Funcional
- Banco de Dados RelacionalNormalização3FN: Terceira Forma Normal
No processo de normalização de dados, a terceira forma normal é baseada no conceito de:
Provas
Questão presente nas seguintes provas
1309085
Ano: 2015
Disciplina: TI - Desenvolvimento de Sistemas
Banca: CAIP-IMES
Orgão: Pref. Botucatu-SP
Disciplina: TI - Desenvolvimento de Sistemas
Banca: CAIP-IMES
Orgão: Pref. Botucatu-SP
Provas:
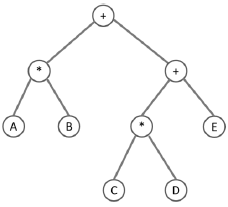
Considerando a árvore de expressões abaixo.

A busca pelo método pré-ordem da árvore acima, resulta em:
Provas
Questão presente nas seguintes provas
1307683
Ano: 2015
Disciplina: TI - Desenvolvimento de Sistemas
Banca: CAIP-IMES
Orgão: Pref. Botucatu-SP
Disciplina: TI - Desenvolvimento de Sistemas
Banca: CAIP-IMES
Orgão: Pref. Botucatu-SP
Provas:
- Paradigmas de ProgramaçãoOrientação a ObjetosOrientação a Objetos: Métodos
- Paradigmas de ProgramaçãoOrientação a ObjetosOrientação a Objetos: Polimorfismo
Na programação orientada a objetos é possível definir-se vários métodos com mesmo nome, porém com assinaturas diferentes. Nessa situação, fica a cargo do compilador escolher o método apropriado em conformidade com as listas de argumentos de seus respectivos métodos. Esse conceito é conhecido por:
Provas
Questão presente nas seguintes provas
1304454
Ano: 2015
Disciplina: TI - Organização e Arquitetura dos Computadores
Banca: CAIP-IMES
Orgão: Pref. Botucatu-SP
Disciplina: TI - Organização e Arquitetura dos Computadores
Banca: CAIP-IMES
Orgão: Pref. Botucatu-SP
Provas:
Complete a lacuna abaixo assinalando a alternativa correta.
A memória é a parte do computador onde os programas e os dados são armazenados. Ela é formada por um conjunto de células, onde cada uma das quais pode guardar uma informação. Essas células contêm um determinado número de bits. Se uma célula de memória contiver 9 bits, então poderá armazenar qualquer uma das combinações possíveis para esses bits.
Provas
Questão presente nas seguintes provas
1298249
Ano: 2015
Disciplina: TI - Desenvolvimento de Sistemas
Banca: CAIP-IMES
Orgão: Pref. Botucatu-SP
Disciplina: TI - Desenvolvimento de Sistemas
Banca: CAIP-IMES
Orgão: Pref. Botucatu-SP
Provas:
Considere as seguintes afirmações:
I- O padrão MVC é um padrão de arquitetura de software que consiste em estruturar a aplicação em três partes: o modelo, a visão e o controlador.
II- O padrão Observer define um relacionamento de um para muitos, de modo que, quando um objeto altera seu estado, muitos outros podem ser notificados.
Pode-se afirmar que:
Provas
Questão presente nas seguintes provas
No modelo relacional de dados, há uma restrição que é especificada entre duas relações e é usada para manter a consistência entre tuplas de duas relações. Informalmente, essa restrição estabelece que uma tupla de uma relação que se refere a outra relação, deve se referir a uma tupla existente naquela relação. Essa restrição é conhecida por:
Provas
Questão presente nas seguintes provas
No modelo relacional de dados, é possível que um conjunto de entidades não tenha atributos suficientes para formar uma chave primária. Tal conjunto de entidades é nomeado como um conjunto de entidades:
Provas
Questão presente nas seguintes provas
Considere as seguintes afirmações:
I- No modelo relacional de dados, a primeira forma normal assegura que uma coluna de uma determinada tabela só pode conter valores atômicos.
II- No modelo relacional de dados, quando um atributo qualquer de uma tabela é chave primária em outra tabela, dizemos que o mesmo é uma foreign key.
Pode-se afirmar que:
Provas
Questão presente nas seguintes provas
Cadernos
Caderno Container