Foram encontradas 651 questões.
Com base em seus conhecimentos sobre os tipos de resíduos, quais das afirmações a seguir são
verdadeiras:
I - Resíduo infectante: resíduo cuja característica apresenta risco potencial à saúde e ao meio ambiente, devido à presença de agentes biológicos; II - Resíduo químico: resíduos contendo substâncias químicas que apresentam risco à saúde pública ou ao meio ambiente, em função de suas características de inflamabilidade, corrosividade, reatividade e toxicidade; III - Resíduo animal: são aqueles que não se enquadram nas classificações de resíduos perigosos, podem ter propriedades tais como: combustibilidade, biodegradabilidade ou solubilidade em água. Podem ter propriedades de combustibilidade, biodegrabilidade ou solubilidade em água.
I - Resíduo infectante: resíduo cuja característica apresenta risco potencial à saúde e ao meio ambiente, devido à presença de agentes biológicos; II - Resíduo químico: resíduos contendo substâncias químicas que apresentam risco à saúde pública ou ao meio ambiente, em função de suas características de inflamabilidade, corrosividade, reatividade e toxicidade; III - Resíduo animal: são aqueles que não se enquadram nas classificações de resíduos perigosos, podem ter propriedades tais como: combustibilidade, biodegradabilidade ou solubilidade em água. Podem ter propriedades de combustibilidade, biodegrabilidade ou solubilidade em água.
Provas
Questão presente nas seguintes provas
Os lagomorfos constituem uma ordem de pequenos mamíferos herbívoros que incluem os
coelhos, as lebres e osocotonídeos. Embora, exteriormente, os lagomorfos se assemelhem a roedores,
há muitas diferenças que justificam a sua inclusão numa ordem à parte, assinale a alternativa correta
sobre uma dessas características:
Provas
Questão presente nas seguintes provas
Com base em seus conhecimentos taxonômicos sobre grande biodiversidade de insetos
existentes no Brasil, assinale qual a alternativa correta possui uma espécie representativa de cada um
dos três exemplos de Ordens a seguir:
I - Lepdoptera (do grego lepis = escamas, e pteron = asas, são insetos holometábolos, de asas membranosas, corpo e apêndices cobertos por escamas); II - Coleoptera (do grego koleos = estojo e pteron = asas, possui o primeiro par de asas modificado); III - Diptera (do grego di = duas e pteron = asas, devido às asas posteriores serem modificadas em forma de halteres e funcionarem apenas como estabilizadores de voo).
I - Lepdoptera (do grego lepis = escamas, e pteron = asas, são insetos holometábolos, de asas membranosas, corpo e apêndices cobertos por escamas); II - Coleoptera (do grego koleos = estojo e pteron = asas, possui o primeiro par de asas modificado); III - Diptera (do grego di = duas e pteron = asas, devido às asas posteriores serem modificadas em forma de halteres e funcionarem apenas como estabilizadores de voo).
Provas
Questão presente nas seguintes provas
Além de seu papel como principal tecido de condução de água, o ___________ também está
envolvido na condução de sais minerais, na sustentação e no armazenamento de substâncias
alimentares. Já o ___________ é caracterizado como o principal tecido condutor de substâncias
orgânicas nas plantas vasculares, ele também desempenha transporte de outras substâncias tais como
aminoácidos, lipídios, micronutrientes hormônios e estímulos florais. Preencha as lacunas para cada
tecido condutor respectivamente
Provas
Questão presente nas seguintes provas
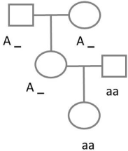
Pedro e Marcela ambos de olhos castanhos tiveram uma filha chamada Alice, a qual também
possuía olhos castanhos. Quando Alice cresceu, ela se casou com Marcos, que possuía olhos verdes, e
então eles tiveram uma filha chamada Helena que tinha os olhos da cor do seu pai. Com base em seus
conhecimentos de genética e observando o heredograma abaixo, assinale a alternativa que está correta
sobre a coloração dos olhos de Helena.


Provas
Questão presente nas seguintes provas
Com base em seus conhecimentos sobre angiospermas, julgue as seguintes afirmativas em
verdadeiro (V) ou falso (F):
( ) As eudicotiledônias incluem plantas bastante conhecidas como as gramíneas, as orquídeas e as palmeiras. ( ) As monocotiledôneas possuem nervação das folhas paralelinérveas e flores trímeras. ( ) As eudicotiledônias possuem nervação das folhas reticuladas e flores tetrâmeras ou pentâmeras.
A sequência correta é a presente na alternativa:
( ) As eudicotiledônias incluem plantas bastante conhecidas como as gramíneas, as orquídeas e as palmeiras. ( ) As monocotiledôneas possuem nervação das folhas paralelinérveas e flores trímeras. ( ) As eudicotiledônias possuem nervação das folhas reticuladas e flores tetrâmeras ou pentâmeras.
A sequência correta é a presente na alternativa:
Provas
Questão presente nas seguintes provas
No contexto da anatomia humana, o músculo ISQUIOCOCCÍGEO no Abdome - Região Inferior é
responsável pela seguinte ação:
Provas
Questão presente nas seguintes provas
A degradação ambiental é considerada qualquer processo, seja ele natural ou provocado por
ações humanas, que suprima do ambiente características próprias e condições favoráveis à renovação
da vida.
Assinale verdadeiro (V) ou falso (F) sobre práticas que auxiliam na degradação do meio ambiente:
I. Poluição por meio de descarte incorreto de dejetos nos rios pelas indústrias;
II. Utilizar queimadas para limpar, ampliar o plantio e realizar limpeza do solo;
III. Implantar a coleta seletiva de lixo, evitando descartes incorretos de lixo;
IV. Adubação verde e rotação de culturas.
Assinale verdadeiro (V) ou falso (F) sobre práticas que auxiliam na degradação do meio ambiente:
I. Poluição por meio de descarte incorreto de dejetos nos rios pelas indústrias;
II. Utilizar queimadas para limpar, ampliar o plantio e realizar limpeza do solo;
III. Implantar a coleta seletiva de lixo, evitando descartes incorretos de lixo;
IV. Adubação verde e rotação de culturas.
Provas
Questão presente nas seguintes provas
“Após a fecundação, o _________ começa seu desenvolvimento embrionário. O primeiro estágio
da clivagem é chamado de ___________, um maciço celular com poucas células. Até esta fase, as células
são conhecidas como células-tronco totipotentes, as quais podem se diferenciar em qualquer tecido do
embrião e também em seus anexos embrionários. Essas células continuam a sofrer divisões e chegam
no estágio de ____________, no qual as células secretam um líquido interno, preenchendo uma cavidade
central chamada de bastocele. Neste estágio as células já são conhecidas como células-tronco
pluripotentes, pois sua camada interior, chamada de botão embrionário, poderá dar origem a todos os
tecidos do embrião, exceto os anexos embrionários os quais são formados a partir da camada celular
externa chamada de trofoblasto.”
Com base em seus conhecimentos de embriologia, preencha as lacunas do texto corretamente.
Com base em seus conhecimentos de embriologia, preencha as lacunas do texto corretamente.
Provas
Questão presente nas seguintes provas
De acordo com o número de cotilédones encontrado nas sementes, as angiospermas são divididas
em duas grandes classes. Quais são?
Provas
Questão presente nas seguintes provas
Cadernos
Caderno Container