Foram encontradas 690 questões.
A relação de espiras do transformador é 25:1, as suas perdas no ferro são 2kW, e a impedância dos enrolamentos referida para o lado de alta tensão é 30 + j 40
/fase.
Sabendo que, em seu lado de baixa tensão, uma carga de 50kVA é alimentada em 200 V, com fator de potência 0,8 (indutivo), a potência ativa de entrada do transformador, em kW, é igual a
Provas
Nesse contexto, avalie se é correto afirmar que:
I. as perdas no ferro podem ser consideradas constantes para qualquer regime de funcionamento;
II. as perdas nos enrolamentos dependem do fator de potência do transformador;
III. as perdas no ferro são determinadas no ensaio em vazio.
Está correto o que se afirma em
Provas
O comprimento máximo que este circuito pode ter para que sua queda de tensão efetiva não ultrapasse a 2% é
Provas
Medidas da tensão e da corrente em uma fase em um circuito trifásico equilibrado resultaram nas leituras
vc(t) = 200 cos(377t − 240º) V
ic(t) = 50 cos(377t + 90º) A
em que 200V e 50A são os valores máximos da tensão e da corrente, respectivamente.
Sabendo-se que o sistema trifásico é de sequência positiva, a potência média do circuito, em kW, é igual a
Provas
Provas
A figura a seguir apresenta um circuito composto por quatro resistores R, um resistor r e uma bateria U.

Para que a potência em cada um dos resistores R seja igual a 1/8 da potência total P, a resistência de r deve ser igual a
Provas
Provas
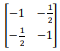
A figura a seguir apresenta um circuito composto por uma associação mista de resistores e duas fontes de corrente.

Sabendo que todas as resistências são 2Ω, a matriz de admitância nodal Y do circuito é
Provas
Provas
A tabela a seguir mostra alguns dados relacionados à escavação de um terreno.

Considerando que serão utilizados caminhões basculantes de 6m3 de volume para remoção do material do local de escavação, a quantidade total de viagens necessária para transportar todo o material será de
Provas
Caderno Container