Foram encontradas 1.033 questões.

A codeína, cuja estrutura química está representada na figura precedente, é o princípio ativo de medicamentos utilizados no tratamento de dor moderada. Com relação à estrutura química da codeína, é correto afirmar que ela é constituída por
Provas
- Química OrgânicaReações OrgânicasReações Orgânicas: Substituição, Adição e Eliminação
- Química OrgânicaReações OrgânicasReações Orgânicas: Oxidação, Redução e Polimerização

A anfetamina é uma droga que pode ser sintetizada a partir da sequência de reações demonstrada na figura precedente. Tal sequência de transformações contém, respectivamente, uma reação de
Provas

Comumente, fabricantes de drogas sintéticas introduzem um novo grupo funcional ou uma nova cadeia na estrutura química de uma droga ilícita conhecida, a fim de burlar a fiscalização. Com base nas estruturas de catinonas modificadas apresentadas nas figuras precedentes, assinale a opção que corresponde, respectivamente, à cadeia alquílica que caracteriza as estruturas I, II e III.
Provas
- Química OrgânicaFunções Nitrogenadas: Amina, Amida, Nitrila, Isonitrila e Nitro Composto
- Química OrgânicaFunções Oxigenadas: Cetona, Aldeído, Éter, Éster, Ácido Carboxílico etc.

Nessa figura, apresenta-se a estrutura química do MOPPP, uma catinona modificada que, devido a suas propriedades psicoativas, é utilizada como droga de recreação. A respeito da estrutura desse composto, é correto afirmar que ele apresenta os grupos funcionais
Provas

Uma mistura que contém anfetamina, 4-hidroxifenilacetona
e fenilacetona, cujas estruturas estão apresentadas nas figuras
precedentes, foi submetida a processo de separação por extração
ácido/base iniciando com solução aquosa de HC
seguida de
solução aquosa de NaOH.
Nessa situação, a separação dos três componentes foi possível porque anfetamina, 4-hidroxifenilacetona e fenilacetona apresentam, respectivamente, características
Provas
Provas

As figuras precedentes mostram as estruturas químicas da mescalina, substância natural com propriedades alucinógenas, e do composto I, análogo a ela. Comparado à mescalina, é correto afirmar que o composto I apresenta
Provas
- Química CinéticaVelocidade de Reação, Energia de Ativação e Catalisadores
- Química OrgânicaFunções Nitrogenadas: Amina, Amida, Nitrila, Isonitrila e Nitro Composto
- Química OrgânicaFunções Oxigenadas: Cetona, Aldeído, Éter, Éster, Ácido Carboxílico etc.
- Química OrgânicaPropriedades Químicas dos Compostos Orgânicos
- Química OrgânicaReações OrgânicasReações Orgânicas: Oxidação, Redução e Polimerização
- Sistemas de EquilíbrioSistemas Homogêneos: Equilíbrio Químico na Água

O ácido lisérgico é um alcaloide a partir do qual se originaram lisergamidas como a MLD-41, substância com propriedades psicodélicas. Considerando as estruturas químicas mostradas nas figuras precedentes, bem como as propriedades físicas e químicas dos grupos funcionais presentes em suas moléculas, assinale a opção correta.
Provas
- FundamentosPropriedades das Substâncias
- Química InorgânicaGeometria Molecular, Polaridade e Forças Intermoleculares
- Química OrgânicaPropriedades Químicas dos Compostos Orgânicos
- Química OrgânicaReações OrgânicasReações Orgânicas: Oxidação, Redução e Polimerização
- Química OrgânicaTipos de Reagentes e Mecanismos das Reações Orgânicas

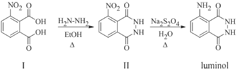
O luminol, empregado na prática forense para identificação de vestígios de tecido sanguíneo, pode ser preparado a partir dos compostos I e II, conforme a rota sintética representada na figura precedente. A respeito das estruturas químicas apresentadas nessa figura e das propriedades físicas e químicas de suas moléculas, assinale a opção correta.
Provas

Nessas figuras, estão representadas as estruturas químicas da colina e da acetilcolina, um importante neurotransmissor cujo receptor é afetado por várias drogas. A reação entre colina e o reagente cloreto de acetila para a preparação de acetilcolina envolve uma transformação classificada como
Provas
Caderno Container