Magna Concursos

Foram encontradas 1.080 questões.

1365346 Ano: 2021
Disciplina: Estatística
Banca: CESPE / CEBRASPE
Orgão: PG-DF
Em determinada repartição pública, um processo administrativo é analisado e despachado para a tomada das providências devidas. Suponha que T1 e T2 sejam as respectivas variáveis aleatórias que representam o tempo gasto (em dias) para a análise e o despacho de um processo administrativo. Essas duas variáveis aleatórias são independentes e seguem distribuições exponenciais com médias iguais a 4 dias e 3 dias, respectivamente.
Com base nessas informações, julgue o item a seguir.
Se M = máx {T1, T2}, representa o tempo máximo entre T1 e T2, então M segue distribuição exponencial com média igual a 7 dias.
 

Provas

Questão presente nas seguintes provas
1365345 Ano: 2021
Disciplina: Estatística
Banca: CESPE / CEBRASPE
Orgão: PG-DF
Em determinada repartição pública, um processo administrativo é analisado e despachado para a tomada das providências devidas. Suponha que T1 e T2 sejam as respectivas variáveis aleatórias que representam o tempo gasto (em dias) para a análise e o despacho de um processo administrativo. Essas duas variáveis aleatórias são independentes e seguem distribuições exponenciais com médias iguais a 4 dias e 3 dias, respectivamente.
Com base nessas informações, julgue o item a seguir.
Suponha que U1 e U2 sejam variáveis aleatórias independentes que seguem a distribuição uniforme no intervalo (0,1). Nessa situação, é correto afirmar que T1 = -4 ln U1 e T2 = -3 ln U2.
 

Provas

Questão presente nas seguintes provas
1365344 Ano: 2021
Disciplina: Estatística
Banca: CESPE / CEBRASPE
Orgão: PG-DF
Considerando que X e Y sejam variáveis aleatórias que seguem a distribuição normal padrão, tais que E[(2X + Y)2] = 7, julgue o próximo item.
A variância da soma 2X + Y é igual a 7.
 

Provas

Questão presente nas seguintes provas
1365343 Ano: 2021
Disciplina: Estatística
Banca: CESPE / CEBRASPE
Orgão: PG-DF

Considerando que X e Y sejam variáveis aleatórias que seguem a distribuição normal padrão, tais que E[(2X + Y)2] = 7, julgue o próximo item.

P(X+Y/2≤0) < P(X+Y/2>0).

 

Provas

Questão presente nas seguintes provas
1365342 Ano: 2021
Disciplina: Estatística
Banca: CESPE / CEBRASPE
Orgão: PG-DF

Considerando que X e Y sejam variáveis aleatórias que seguem a distribuição normal padrão, tais que E[(2X + Y)2] = 7, julgue o próximo item.

A covariância entre as variáveis X e Y é igual ou inferior a 0,95.

 

Provas

Questão presente nas seguintes provas
1365341 Ano: 2021
Disciplina: Estatística
Banca: CESPE / CEBRASPE
Orgão: PG-DF

Considerando que X e Y sejam variáveis aleatórias que seguem a distribuição normal padrão, tais que E[(2X + Y)2] = 7, julgue o próximo item.

X2 + 2X + 1 segue uma distribuição qui-quadrado com 1 grau de liberdade, tendo parâmetro de não centralidade igual a 1.

 

Provas

Questão presente nas seguintes provas
1365340 Ano: 2021
Disciplina: Estatística
Banca: CESPE / CEBRASPE
Orgão: PG-DF
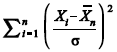
Uma amostra aleatória simples X1, X2, ..., Xn foi retirada de uma distribuição normal com média μ e desvio padrão σ. Considerando que
Enunciado 1365340-1
e
Sn = Enunciado 1365340-2
são estatísticas que representam, respectivamente, a média amostral e o desvio padrão amostral, julgue o item a seguir.
A agregação dos desvios padronizados dada por Enunciado 1365340-3 segue uma distribuição qui-quadrado com n graus de liberdade.
 

Provas

Questão presente nas seguintes provas
1365339 Ano: 2021
Disciplina: Estatística
Banca: CESPE / CEBRASPE
Orgão: PG-DF
Uma amostra aleatória simples X1, X2, ..., Xn foi retirada de uma distribuição normal com média μ e desvio padrão σ. Considerando que
Enunciado 1365339-1
e
Sn = Enunciado 1365339-2
são estatísticas que representam, respectivamente, a média amostral e o desvio padrão amostral, julgue o item a seguir.
Para qualquer tamanho amostral n, tem-se E[Sn] = σ.
 

Provas

Questão presente nas seguintes provas
1365338 Ano: 2021
Disciplina: Estatística
Banca: CESPE / CEBRASPE
Orgão: PG-DF
Uma amostra aleatória simples X1, X2, ..., Xn foi retirada de uma distribuição normal com média μ e desvio padrão σ. Considerando que
Enunciado 1365338-1
e
Sn = Enunciado 1365338-2
são estatísticas que representam, respectivamente, a média amostral e o desvio padrão amostral, julgue o item a seguir.

As variáveis aleatórias Enunciado 1365338-3 e Sn são mutuamente dependentes.

 

Provas

Questão presente nas seguintes provas
1365337 Ano: 2021
Disciplina: Estatística
Banca: CESPE / CEBRASPE
Orgão: PG-DF
Uma amostra aleatória simples X1, X2, ..., Xn foi retirada de uma distribuição normal com média μ e desvio padrão σ. Considerando que
Enunciado 1365337-1
e
Sn = Enunciado 1365337-2
são estatísticas que representam, respectivamente, a média amostral e o desvio padrão amostral, julgue o item a seguir.

A razão Enunciado 1365337-3 segue uma distribuição t de Student com n - 1 graus de liberdade.

 

Provas

Questão presente nas seguintes provas