Foram encontradas 120 questões.
A química está presente em diversas atividades humanas, da produção agrícola às pesquisas aeroespaciais, sendo responsável por movimentar importante parcela do produto interno bruto industrial. Por outro lado, a responsabilidade ambiental, incluindo os cuidados com as águas, a atmosfera e as emissões antropogênicas, compõe o rol de preocupações mundiais da atualidade. Com base nessas informações e na multiplicidade de conhecimentos que elas suscitam, julgue os itens que se seguem.
Os requisitos para a qualificação dos diversos usos das águas incluem oxigênio dissolvido, temperatura, pH, nutrientes, materiais flutuantes e materiais sedimentáveis.
Provas
A química está presente em diversas atividades humanas, da produção agrícola às pesquisas aeroespaciais, sendo responsável por movimentar importante parcela do produto interno bruto industrial. Por outro lado, a responsabilidade ambiental, incluindo os cuidados com as águas, a atmosfera e as emissões antropogênicas, compõe o rol de preocupações mundiais da atualidade. Com base nessas informações e na multiplicidade de conhecimentos que elas suscitam, julgue os itens que se seguem.
Nas águas de classe especial não são aceitos lançamentos de efluentes, mesmo que tratados, e para as demais classes são admitidos níveis crescentes de poluição.
Provas
A química está presente em diversas atividades humanas, da produção agrícola às pesquisas aeroespaciais, sendo responsável por movimentar importante parcela do produto interno bruto industrial. Por outro lado, a responsabilidade ambiental, incluindo os cuidados com as águas, a atmosfera e as emissões antropogênicas, compõe o rol de preocupações mundiais da atualidade. Com base nessas informações e na multiplicidade de conhecimentos que elas suscitam, julgue os itens que se seguem.
O Brasil adota o enquadramento das águas em classes de qualidade para fins do uso da água — que inclui os aquíferos —, objetivando garantir a qualidade dessas águas.
Provas
A química está presente em diversas atividades humanas, da produção agrícola às pesquisas aeroespaciais, sendo responsável por movimentar importante parcela do produto interno bruto industrial. Por outro lado, a responsabilidade ambiental, incluindo os cuidados com as águas, a atmosfera e as emissões antropogênicas, compõe o rol de preocupações mundiais da atualidade. Com base nessas informações e na multiplicidade de conhecimentos que elas suscitam, julgue os itens que se seguem.
A qualidade das águas é afetada pelas fontes pontuais e não pontuais de poluição.
Provas
A química está presente em diversas atividades humanas, da produção agrícola às pesquisas aeroespaciais, sendo responsável por movimentar importante parcela do produto interno bruto industrial. Por outro lado, a responsabilidade ambiental, incluindo os cuidados com as águas, a atmosfera e as emissões antropogênicas, compõe o rol de preocupações mundiais da atualidade. Com base nessas informações e na multiplicidade de conhecimentos que elas suscitam, julgue os itens que se seguem.
O tratamento da água para uso residencial e comercial garante a imunização contra doenças e elimina odores e turvação. O tratamento do esgoto, por sua vez, visa reduzir a poluição e a eutrofização.
Provas
A química está presente em diversas atividades humanas, da produção agrícola às pesquisas aeroespaciais, sendo responsável por movimentar importante parcela do produto interno bruto industrial. Por outro lado, a responsabilidade ambiental, incluindo os cuidados com as águas, a atmosfera e as emissões antropogênicas, compõe o rol de preocupações mundiais da atualidade. Com base nessas informações e na multiplicidade de conhecimentos que elas suscitam, julgue os itens que se seguem.
No Brasil, o número de classes de qualidade para as águas doces, salinas e salobras, de acordo com a qualidade requerida para seus usos, é igual a cinco.
Provas
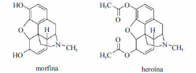
Os opioides são substâncias químicas psicoativas que atuam em receptores de opioides do sistema nervoso central e periférico e do trato gastrointestinal. Os opioides têm sido muito utilizados no tratamento paliativo de dores crônicas e intensas de pacientes terminais de câncer e doenças degenerativas, tais como a artrite reumatoide. Os alcaloides morfanos, classe química a que pertence a morfina e seu derivado sintético (heroína), são representantes conhecidos dos opioides que, além de serem usados no âmbito médico, têm sido utilizados como drogas ilícitas.

A partir das informações contidas na figura e no texto acima, julgue os itens subsecutivos.
A heroína pode ser obtida a partir da reação química entre a morfina e o cloreto de etanoíla.
Provas
Os opioides são substâncias químicas psicoativas que atuam em receptores de opioides do sistema nervoso central e periférico e do trato gastrointestinal. Os opioides têm sido muito utilizados no tratamento paliativo de dores crônicas e intensas de pacientes terminais de câncer e doenças degenerativas, tais como a artrite reumatoide. Os alcaloides morfanos, classe química a que pertence a morfina e seu derivado sintético (heroína), são representantes conhecidos dos opioides que, além de serem usados no âmbito médico, têm sido utilizados como drogas ilícitas.

A partir das informações contidas na figura e no texto acima, julgue os itens subsecutivos.
A reação da heroína com ácido 2-hidroxipropanoico forma um sal orgânico em que o átomo de oxigênio da função éter apresenta carga formal 1+.
Provas
Os opioides são substâncias químicas psicoativas que atuam em receptores de opioides do sistema nervoso central e periférico e do trato gastrointestinal. Os opioides têm sido muito utilizados no tratamento paliativo de dores crônicas e intensas de pacientes terminais de câncer e doenças degenerativas, tais como a artrite reumatoide. Os alcaloides morfanos, classe química a que pertence a morfina e seu derivado sintético (heroína), são representantes conhecidos dos opioides que, além de serem usados no âmbito médico, têm sido utilizados como drogas ilícitas.

A partir das informações contidas na figura e no texto acima, julgue os itens subsecutivos.
A morfina apresenta, em sua estrutura, nove carbonos com geometria trigonal plana.
Provas
Os opioides são substâncias químicas psicoativas que atuam em receptores de opioides do sistema nervoso central e periférico e do trato gastrointestinal. Os opioides têm sido muito utilizados no tratamento paliativo de dores crônicas e intensas de pacientes terminais de câncer e doenças degenerativas, tais como a artrite reumatoide. Os alcaloides morfanos, classe química a que pertence a morfina e seu derivado sintético (heroína), são representantes conhecidos dos opioides que, além de serem usados no âmbito médico, têm sido utilizados como drogas ilícitas.

A partir das informações contidas na figura e no texto acima, julgue os itens subsecutivos.
Uma mistura de heroína e morfina pode ser separada por meio da dissolução dessa mistura em um solvente orgânico imiscível em água e de sucessivas extrações com solução aquosa de hidróxido de sódio.
Provas
Caderno Container