Magna Concursos

Foram encontradas 688 questões.

1088500 Ano: 2003
Disciplina: Química
Banca: CESPE / CEBRASPE
Orgão: PC-RR
Provas:

Enunciado 1088500-1

Sprays de ninidrina têm sido utilizados por peritos criminais para auxiliar na visualização de impressões digitais. A ninidrina reage com os aminoácidos da impressão digital e forma um produto azul-violeta, denominado púrpura de Ruhemann, que revela a impressão digital quando iluminado. A partir dessas informações, da reação mostrada acima e sabendo-se que M(H) = 1 g/mol, M(C) = 12 g/mol, M(O) = 16 g/mol, julgue o item a seguir, considerando que o volume molar de um gás ideal nas CNTP é igual a 22,7 L/mol.

O aminoácido mostrado na reação é um $-aminoácido secundário.

 

Provas

Questão presente nas seguintes provas
1088499 Ano: 2003
Disciplina: Química
Banca: CESPE / CEBRASPE
Orgão: PC-RR
Provas:

Considere a seguinte situação hipotética.

Uma enfermeira é suspeita de ter trocado deliberadamente o conteúdo de um frasco de remédio, retirando a droga nele contida e substituindo-a por solução salina. Um agente policial submeteu o frasco em questão, que continha no rótulo a informação “meperidina 20 mg/mL”, a análise forense. O químico pipetou 100 μL da solução contida no frasco e a diluiu em H2SO4 0,5 mol/L até atingir o volume de 10,0 mL. Após agitar a solução, essa foi colocada em uma cubeta de 1 cm e um espectro de UV-VIS foi registrado. O químico observou que o espectro obtido era qualitativamente similar ao espectro de referência da meperidina e que a absorvância a 257 nm era igual a 0,075.

Nessa situação, sabendo-se que a absortividade molar da meperidina a 257 nm é igual a 0,85 L × g-1 × cm-1 em solução ácida e que a sua massa molar é igual a 247,3 g/mol, julgue o item subseqüente.

A absorvância medida pelo químico indica que a concentração de meperidina na solução analisada é realmente de 20 mg/mL, resultado que isentaria a enfermeira de culpa.

 

Provas

Questão presente nas seguintes provas
1088498 Ano: 2003
Disciplina: Química
Banca: CESPE / CEBRASPE
Orgão: PC-RR
Provas:

Considere a seguinte situação hipotética.

Uma enfermeira é suspeita de ter trocado deliberadamente o conteúdo de um frasco de remédio, retirando a droga nele contida e substituindo-a por solução salina. Um agente policial submeteu o frasco em questão, que continha no rótulo a informação “meperidina 20 mg/mL”, a análise forense. O químico pipetou 100 μL da solução contida no frasco e a diluiu em H2SO4 0,5 mol/L até atingir o volume de 10,0 mL. Após agitar a solução, essa foi colocada em uma cubeta de 1 cm e um espectro de UV-VIS foi registrado. O químico observou que o espectro obtido era qualitativamente similar ao espectro de referência da meperidina e que a absorvância a 257 nm era igual a 0,075.

Nessa situação, sabendo-se que a absortividade molar da meperidina a 257 nm é igual a 0,85 L × g-1 × cm-1 em solução ácida e que a sua massa molar é igual a 247,3 g/mol, julgue o item subseqüente.

Admitindo que o químico tenha utilizado uma solução comercial de ácido sulfúrico 49% em massa, de densidade igual a 1,39 g/mL, para preparar a solução de H2SO4 usada nessa determinação, e sabendo que M(H) = 1 g/mol, M(O) = 16 g/mol e M(S) = 32 g/mol, é correto concluir que foi pipetado pelo químico menos de 5 mL dessa solução para preparar 100 mL de solução de H2SO4 0,5 mol/L.

 

Provas

Questão presente nas seguintes provas
1088497 Ano: 2003
Disciplina: Química
Banca: CESPE / CEBRASPE
Orgão: PC-RR
Provas:

A respeito dos conceitos relativos à química inorgânica, julgue o seguinte item.

Compostos iônicos são normalmente sólidos à temperatura ambiente, possuem pontos de fusão geralmente altos e são bons condutores de corrente elétrica quando fundidos ou em solução aquosa. A maioria dos compostos iônicos é solúvel em água e insolúvel em solventes apolares orgânicos.

 

Provas

Questão presente nas seguintes provas
1088496 Ano: 2003
Disciplina: Química
Banca: CESPE / CEBRASPE
Orgão: PC-RR
Provas:

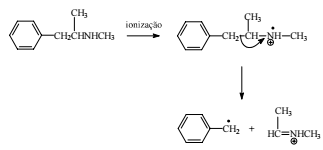
Enunciado 1088496-1

A presença da metanfetamina — uma droga alucinógena ilícita — em fluidos biológicos pode ser determinada por espectrometria de massa. O espectro de massa da metanfetamina apresenta um pico de 58 u bastante característico. A partir da fórmula estrutural da metanfetamina mostrada acima e considerando que M(H) = 1 g/mol, M(C) = 12 g/mol e M(N) = 14 g/mol, julgue o item a seguir.

O pico de 58 u deve-se ao fragmento CH3CH=NH+ CH3, que pode ser formado pelo seguinte mecanismo.

Enunciado 1088496-2

 

Provas

Questão presente nas seguintes provas
1088495 Ano: 2003
Disciplina: Química
Banca: CESPE / CEBRASPE
Orgão: PC-RR
Provas:

A respeito dos conceitos relativos à química inorgânica, julgue o seguinte item.

O complexo neutro Co(NH3)3(NO2)3 possui apenas dois isômeros.

 

Provas

Questão presente nas seguintes provas
1088494 Ano: 2003
Disciplina: Química
Banca: CESPE / CEBRASPE
Orgão: PC-RR
Provas:

Enunciado 1088494-1

A presença da metanfetamina — uma droga alucinógena ilícita — em fluidos biológicos pode ser determinada por espectrometria de massa. O espectro de massa da metanfetamina apresenta um pico de 58 u bastante característico. A partir da fórmula estrutural da metanfetamina mostrada acima e considerando que M(H) = 1 g/mol, M(C) = 12 g/mol e M(N) = 14 g/mol, julgue o item a seguir.

Admita que o advogado de um réu acusado de ter consumido metanfetamina tenha proferido em sua defesa a seguinte frase.

“Não existe substância tóxica, mas sim doses tóxicas.”

Do ponto de vista estritamente químico, a frase do advogado pode ser considerada correta, pois existe uma concentração abaixo da qual a metanfetamina não causa nenhum efeito nocivo ao organismo, assim como existe uma concentração acima da qual até cloreto de sódio pode levar um indivíduo à morte.

 

Provas

Questão presente nas seguintes provas
1088493 Ano: 2003
Disciplina: Química
Banca: CESPE / CEBRASPE
Orgão: PC-RR
Provas:

Enunciado 1088493-1

Sprays de ninidrina têm sido utilizados por peritos criminais para auxiliar na visualização de impressões digitais. A ninidrina reage com os aminoácidos da impressão digital e forma um produto azul-violeta, denominado púrpura de Ruhemann, que revela a impressão digital quando iluminado. A partir dessas informações, da reação mostrada acima e sabendo-se que M(H) = 1 g/mol, M(C) = 12 g/mol, M(O) = 16 g/mol, julgue o item a seguir, considerando que o volume molar de um gás ideal nas CNTP é igual a 22,7 L/mol.

Pelo menos uma das substâncias mostradas na reação é uma amida.

 

Provas

Questão presente nas seguintes provas
1088492 Ano: 2003
Disciplina: Química
Banca: CESPE / CEBRASPE
Orgão: PC-RR
Provas:

Considere a seguinte situação hipotética.

Uma enfermeira é suspeita de ter trocado deliberadamente o conteúdo de um frasco de remédio, retirando a droga nele contida e substituindo-a por solução salina. Um agente policial submeteu o frasco em questão, que continha no rótulo a informação “meperidina 20 mg/mL”, a análise forense. O químico pipetou 100 μL da solução contida no frasco e a diluiu em H2SO4 0,5 mol/L até atingir o volume de 10,0 mL. Após agitar a solução, essa foi colocada em uma cubeta de 1 cm e um espectro de UV-VIS foi registrado. O químico observou que o espectro obtido era qualitativamente similar ao espectro de referência da meperidina e que a absorvância a 257 nm era igual a 0,075.

Nessa situação, sabendo-se que a absortividade molar da meperidina a 257 nm é igual a 0,85 L × g-1 × cm-1 em solução ácida e que a sua massa molar é igual a 247,3 g/mol, julgue o item subseqüente.

Admitindo-se que a informação contida no rótulo do frasco esteja correta, após a diluição realizada pelo químico a concentração final de meperidina será igual a 2,0 mg/mL.

 

Provas

Questão presente nas seguintes provas
1088491 Ano: 2003
Disciplina: Química
Banca: CESPE / CEBRASPE
Orgão: PC-RR
Provas:

No que concerne à titulometria, julgue o item que se segue.

O excepcional poder quelante do EDTA oferece uma vantagem e uma desvantagem no que se refere a titulações complexométricas. Se, por um lado, ele torna o EDTA um reagente extremamente versátil, que pode ser utilizado na determinação de diversos cátions di, tri e tetravalentes, por outro lado, faz dele um titulante muito pouco seletivo. Essa desvantagem pode ser minimizada mediante um controle preciso do pH.

 

Provas

Questão presente nas seguintes provas