Foram encontradas 489 questões.
Provas
Provas
Considerando as seguintes afirmativas, com relação à geração de energia elétrica:
I. O processo de funcionamento de uma termelétrica está baseado na conversão de energia térmica em energia mecânica e desta, através de processos eletromagnéticos, em energia elétrica;
II. As PCH (Pequenas Centrais Hidrelétricas), quanto à capacidade de regularização do reservatório, são do tipo a fio d’água, de acumulação com regularização diária do reservatório e de acumulação com regularização mensal do reservatório;
III. As CGH (Centrais Geradoras Hidrelétricas) são usinas que utilizam o potencial hidrelétrico para a produção de energia elétrica, com potência instalada de até 5MW.
Assinale a alternativa CORRETA.
Provas
Em um sistema elétrico de potência, ocorre
uma falta em uma das fases para o terra. Sabe-se
que, a tensão no ponto de falta, antes da
ocorrência do evento, é igual a
, sendo que
a falta ocorre através de uma impedância
As impedâncias dos equivalentes de
Thévenin de sequência zero, positiva e
negativa são respectivamente iguais a
e
. A corrente de curto-circuito, em ampères,
pode ser calculada como:
Provas
Provas
Provas
Provas
Provas

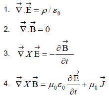
Em relação às equações acima, é CORRETO afirmar:
Provas
Provas
Caderno Container