Foram encontradas 476 questões.

Considerando o esquema ilustrado na figura acima, que integra o circuito de força para o acionamento de um motor de indução trifásico, e que o circuito de comando para acionamento do referido motor (não mostrado na figura) esteja adequadamente dimensionado e ajustado, julgue os itens que se seguem.
Provas
Questão presente nas seguintes provas
Acerca dos princípios de eletromagnetismo, julgue os próximos itens.
Um campo magnético pode ser produzido por uma corrente constante, mas não por um campo elétrico constante.Provas
Questão presente nas seguintes provas

Com base nessas informações, julgue os itens a seguir.
Provas
Questão presente nas seguintes provas
Acerca das propriedades e características magnéticas dos materiais, julgue os itens seguintes.
Considerando-se as figuras I e II abaixo, que representam o comportamento dos momentos de dipolo magnético em certo volume de um material, é correto afirmar que a indução magnética é nula na situação da figura I e que o valor dessa grandeza é diferente de zero na situação da figura II.
Provas
Questão presente nas seguintes provas

Com base nessas informações, julgue os itens a seguir.
Provas
Questão presente nas seguintes provas
A respeito de fiscalização de obras e serviços de engenharia, julgue os itens subsequentes.
Apesar de o gerenciamento da obra ser atribuição do contratado, cabe à fiscalização exercer rigoroso controle sobre o cronograma de execução dos serviços.Provas
Questão presente nas seguintes provas

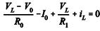
Com base nessas informações, julgue os itens a seguir.
se refere ao circuito da figura III, é correto afirmar que Provas
Questão presente nas seguintes provas

Tendo como referência a situação hipotética descrita acima, julgue os itens subsequentes, com base na legislação profissional relacionada ao sistema CONFEA-CREA.
Provas
Questão presente nas seguintes provas
Considerando que um gerador síncrono funcione com regulação negativa e tensão nominal, suprindo uma carga em seus terminais, julgue os próximos itens.
O fator de potência da referida carga é indutivo.Provas
Questão presente nas seguintes provas
Considerando que um gerador CC em derivação (autoexcitado) apresente resistência crítica de campo igual a 50 ohms quando sua armadura gira à velocidade nominal, julgue os itens a seguir.
Se a resistência total de campo for superior a 50 ohms, então, quando a armadura estiver girando à velocidade nominal, será impossível ao gerador alcançar sua tensão terminal nominal.Provas
Questão presente nas seguintes provas
Cadernos
Caderno Container