Foram encontradas 120 questões.
Com relação às necessidades públicas e ao papel do Estado na economia, julgue os itens seguintes.
A promoção de ajustamentos na alocação de recursos é tradicionalmente classificada como uma das categorias de atribuições econômicas governamentais. Nesse sentido, programas como o de modernização dos portos podem contribuir para melhorar a eficiência na utilização dos recursos da economia, com resultados superiores aos de empreendimentos privados.
A promoção de ajustamentos na alocação de recursos é tradicionalmente classificada como uma das categorias de atribuições econômicas governamentais. Nesse sentido, programas como o de modernização dos portos podem contribuir para melhorar a eficiência na utilização dos recursos da economia, com resultados superiores aos de empreendimentos privados.
Provas
Questão presente nas seguintes provas
- Economia do Setor Público
- História EconômicaHistória Econômica Brasileira
- História EconômicaEconomia Brasileira Contemporânea
A partir da crise dos anos 70 do século XX, surgiram as denominadas políticas de emprego, que consistem em um conjunto de medidas que agem sobre a oferta ou a demanda de trabalho. Com relação a esse assunto, julgue o item abaixo.
As políticas de emprego incluem a formação profissional, o seguro desemprego, o apoio aos micros e pequenos empreendimentos e o programa Bolsa Família.
As políticas de emprego incluem a formação profissional, o seguro desemprego, o apoio aos micros e pequenos empreendimentos e o programa Bolsa Família.
Provas
Questão presente nas seguintes provas
No que diz respeito aos acordos internacionais, julgue os itens a seguir.
De acordo com a Organização Mundial do Comércio, dumping é a oferta de um produto, no comércio de outro país, por meio da exportação, por um preço inferior ao seu valor nominal praticado no país exportador.
De acordo com a Organização Mundial do Comércio, dumping é a oferta de um produto, no comércio de outro país, por meio da exportação, por um preço inferior ao seu valor nominal praticado no país exportador.
Provas
Questão presente nas seguintes provas

Caso os trabalhadores formem um sindicato que consiga que o salário nominal da categoria passe para 55.000 unidades monetárias, a empresa deverá contratar 9 trabalhadores para maximizar o lucro
Provas
Questão presente nas seguintes provas
- Economia do TrabalhoInflação e Mercado de Trabalho
- História Econômica
- MacroeconomiaIntrodução à Macroeconomia
Acerca das relações entre inflação, salário e desemprego, conforme a abordagem keynesiana, julgue os próximos itens.
De acordo com a Lei de Okun, o aumento do produto de equilíbrio gera o aumento do desemprego.
De acordo com a Lei de Okun, o aumento do produto de equilíbrio gera o aumento do desemprego.
Provas
Questão presente nas seguintes provas
- Desenvolvimento e Crescimento Econômico
- História EconômicaHistória Econômica Brasileira
- História EconômicaEconomia Brasileira Contemporânea
Julgue os itens a seguir, referentes às desigualdades pessoais e espaciais de renda e de riqueza no Brasil e ao perfil demográfico do país.
A partir da década de 40 do século passado, ocorreu um processo de transição demográfica de uma situação em que se tinham elevadas taxas de natalidade e mortalidade para outra, em que essas taxas tornaram-se menores.
A partir da década de 40 do século passado, ocorreu um processo de transição demográfica de uma situação em que se tinham elevadas taxas de natalidade e mortalidade para outra, em que essas taxas tornaram-se menores.
Provas
Questão presente nas seguintes provas
Com relação ao sistema de contas nacionais e às identidades macroeconômicas, julgue os itens subsequentes.
Em uma economia fechada, o produto nacional bruto é igual ao produto interno bruto.
Em uma economia fechada, o produto nacional bruto é igual ao produto interno bruto.
Provas
Questão presente nas seguintes provas
Sabendo que o processo de industrialização substitutiva de importações durante o período compreendido entre a Segunda Guerra Mundial e o ano de 1981 comportou uma diferenciação estrutural interna, julgue o item abaixo.
Nesse período, o processo brasileiro de industrialização substitutiva de importações pode ser dividido em duas fases. Na primeira fase (1950-62), ocorreu industrialização diversificada, mas com ênfase na substituição de importação de bens de capital e de bens intermediários, ao passo que, na segunda fase (1968-81), o foco recaiu na industrialização substitutiva de importação de bens de consumo.
Nesse período, o processo brasileiro de industrialização substitutiva de importações pode ser dividido em duas fases. Na primeira fase (1950-62), ocorreu industrialização diversificada, mas com ênfase na substituição de importação de bens de capital e de bens intermediários, ao passo que, na segunda fase (1968-81), o foco recaiu na industrialização substitutiva de importação de bens de consumo.
Provas
Questão presente nas seguintes provas
Com relação às políticas econômicas em geral e à participação do setor público na economia, julgue os itens que se seguem.
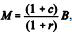
Sabendo-se que
em que: M – meios de pagamento; B – base monetária; c – taxa de retenção de moeda pelo público; r – taxa de reservas bancárias, é correto afirmar que a expansão dos meios de pagamento depende diretamente da expansão da base monetária e da taxa de retenção de moeda pelo público, e inversamente da taxa de reservas bancárias
Sabendo-se que
Provas
Questão presente nas seguintes provas
Julgue os itens a seguir, relativos às contas do sistema monetário.
A base monetária é igual ao papel moeda em poder do público.
A base monetária é igual ao papel moeda em poder do público.
Provas
Questão presente nas seguintes provas
Cadernos
Caderno Container