Foram encontradas 50 questões.
Uma estratégia para teste de software pode ser vista no contexto de uma espiral, conforme ilustrado a seguir.

Em conformidade com a figura, os testes de integração, de unidade, de sistema e de validação correspondem respectivamente, aos números:

Em conformidade com a figura, os testes de integração, de unidade, de sistema e de validação correspondem respectivamente, aos números:
Provas
Questão presente nas seguintes provas
Entre os diagramas empregados na UML 2, um é utilizado desde o nível de análise até a especificação, para representar o aspecto estrutural estático de um sistema orientado a objetos. Um exemplo desse tipo de diagrama é mostrado na figura a seguir.

A figura ilustra o uso do diagrama de:

A figura ilustra o uso do diagrama de:
Provas
Questão presente nas seguintes provas
A engenharia de requisitos envolve a execução de diversas tarefas, sendo uma delas definida como a ação de modelagem de análise, guiada pela criação e refinamento de cenários do usuário, que descrevem como o usuário final vai interagir com o sistema. O produto final gerado por essa tarefa é um modelo de análise que define o domínio do problema informacional, funcional e comportamental.
A tarefa descrita é denominada:
A tarefa descrita é denominada:
Provas
Questão presente nas seguintes provas
Observe a figura a seguir, que corresponde ao cenário de uma corretora de valores e ilustra um diagrama da UML. Essa ferramenta elabora os temas dos casos de uso e mostra os participantes nas interações e as mensagens entre eles.

Essa figura é conhecida por diagrama de:

Essa figura é conhecida por diagrama de:
Provas
Questão presente nas seguintes provas
De a cordo com os princípios da UML, o desenvolvimento de um sistema deve permitir um estudo sob diversas visões, cada uma enfatizando aspectos diferentes do sistema, sendo duas delas descritas a seguir.
I. Enfatiza as características de concorrência, sincronização e desempenho do sistema.
II. Enfatiza a distribuição física do sistema em seus subsistemas e a conexão entre essas partes.
As visões I e II são denominadas, respectivamente:
I. Enfatiza as características de concorrência, sincronização e desempenho do sistema.
II. Enfatiza a distribuição física do sistema em seus subsistemas e a conexão entre essas partes.
As visões I e II são denominadas, respectivamente:
Provas
Questão presente nas seguintes provas
Analise as afirmativas a seguir, relacionadas ao modelo ágil de processo conhecido porScrum.
I. Teste e documentação constantes são realizados à medida que o produto é construído.
II. O trabalho e desenvolvimento, e o pessoal que o efetua, são realizados por completo, com partições de alto acoplamento sem possibilidade de reuso.
III. Pequenas equipes de trabalho são organizadas de modo a maximizar a comunicação, minimizar a supervisão e maximizar o compartilhamento de conhecimento tácito informal.
IV. A complexidade do processo dificulta e não permite a produção de versões do software, que podem ser inspecionados e testados.
V. O processo precisa ser adaptável tanto a modificações técnicas quanto de negócios, para garantir que o melhor produto possível seja produzido.
Estão em conformidade com os princípios de desenvolvimento ágil Scrum, somente as seguintes afirmativas:
I. Teste e documentação constantes são realizados à medida que o produto é construído.
II. O trabalho e desenvolvimento, e o pessoal que o efetua, são realizados por completo, com partições de alto acoplamento sem possibilidade de reuso.
III. Pequenas equipes de trabalho são organizadas de modo a maximizar a comunicação, minimizar a supervisão e maximizar o compartilhamento de conhecimento tácito informal.
IV. A complexidade do processo dificulta e não permite a produção de versões do software, que podem ser inspecionados e testados.
V. O processo precisa ser adaptável tanto a modificações técnicas quanto de negócios, para garantir que o melhor produto possível seja produzido.
Estão em conformidade com os princípios de desenvolvimento ágil Scrum, somente as seguintes afirmativas:
Provas
Questão presente nas seguintes provas
Observe a figura a seguir:

Ela representa uma ferramenta empregada na gerência de projetos e que apresenta as seguintes características:
I. fornece um método simples de sistematizar uma classe de fatos, probabilidades e oportunidades combinados, cujos efeitos poderiam ser, de outro modo, difíceis de manipular e comparar.
II. pode ser utilizada em uma série de situações diversas, da avaliação de riscos ou comparação entre propostas alternativas até a discussão dos resultados de um brainstorming.
III. em combinação com um banco de dados consolidado ou técnicas de modelagem por computador, formulários sofisticados proporcionam um recurso útil de análise.
Essa ferramenta é conhecida como:

Ela representa uma ferramenta empregada na gerência de projetos e que apresenta as seguintes características:
I. fornece um método simples de sistematizar uma classe de fatos, probabilidades e oportunidades combinados, cujos efeitos poderiam ser, de outro modo, difíceis de manipular e comparar.
II. pode ser utilizada em uma série de situações diversas, da avaliação de riscos ou comparação entre propostas alternativas até a discussão dos resultados de um brainstorming.
III. em combinação com um banco de dados consolidado ou técnicas de modelagem por computador, formulários sofisticados proporcionam um recurso útil de análise.
Essa ferramenta é conhecida como:
Provas
Questão presente nas seguintes provas
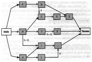
De acordo com o PMI/PMBok, um diagrama de rede do cronograma do projeto utiliza o método do caminho crítico, ilustrado na figura a seguir.

O diagrama utiliza quadrados ou retângulos para representar as atividades e conectá-las com flechas que indicam as relações lógicas que existem entre elas.
Essa ferramenta é denominada diagrama de:

O diagrama utiliza quadrados ou retângulos para representar as atividades e conectá-las com flechas que indicam as relações lógicas que existem entre elas.
Essa ferramenta é denominada diagrama de:
Provas
Questão presente nas seguintes provas
No que diz respeito às áreas de conhecimento do PMI/PMBok, no Gerenciamento de Riscos de Projeto, uma técnica é bastante utilizada na identificação de riscos e compreende:
I. reunir em uma sala especialistas no assunto, integrantes da equipe, membros da equipe de gerenciamento de riscos e quem mais puder contribuir para o processo e pedir que comecem a identificar possíveis eventos de risco.
II. que a ideia de um pode inspirar outra ideia e assim por diante, de modo que, até o final da sessão, tenha havido a identificação de todos os riscos possíveis.
III. a ideia de que o mediador deve iniciarfalando das categorias de riscos, de modo que todos pensem na direção correta.
IV. o fato de que os participantes da reunião não necessariamente se conhecem, podendo ser utilizado e-mails como forma de flexibilização.
A técnica descrita é conhecida como:
I. reunir em uma sala especialistas no assunto, integrantes da equipe, membros da equipe de gerenciamento de riscos e quem mais puder contribuir para o processo e pedir que comecem a identificar possíveis eventos de risco.
II. que a ideia de um pode inspirar outra ideia e assim por diante, de modo que, até o final da sessão, tenha havido a identificação de todos os riscos possíveis.
III. a ideia de que o mediador deve iniciarfalando das categorias de riscos, de modo que todos pensem na direção correta.
IV. o fato de que os participantes da reunião não necessariamente se conhecem, podendo ser utilizado e-mails como forma de flexibilização.
A técnica descrita é conhecida como:
Provas
Questão presente nas seguintes provas
Os processos de gerenciamento organizam e descrevem a realização de um projeto. De acordo com o PMI/PMBok Guide, são cinco grupos de processos utilizados para alcançar esse fim, conforme a figura mostrada abaixo.

Os grupos G2 e G3 são denominados, respectivamente:

Os grupos G2 e G3 são denominados, respectivamente:
Provas
Questão presente nas seguintes provas
Cadernos
Caderno Container