Magna Concursos

Foram encontradas 229 questões.

921943 Ano: 2012
Disciplina: TI - Desenvolvimento de Sistemas
Banca: UPENET/IAUPE
Orgão: JUCEPE
Provas:
Dado o diagrama de caso de uso da UML, é CORRETO afirmar que
enunciado 921943-1
 

Provas

Questão presente nas seguintes provas
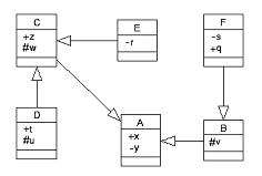
921942 Ano: 2012
Disciplina: TI - Desenvolvimento de Sistemas
Banca: UPENET/IAUPE
Orgão: JUCEPE
Provas:
Considerando na UML a hierarquia conceitual (especialização/generalização) entre classes e a visibilidade dos seus respectivos atributos, conforme pode ser observado na figura que segue, quais serão os atributos de uma instância da classe E?

enunciado 921942-1
 

Provas

Questão presente nas seguintes provas
921941 Ano: 2012
Disciplina: TI - Organização e Arquitetura dos Computadores
Banca: UPENET/IAUPE
Orgão: JUCEPE
Provas:
Pipelining é uma técnica de projeto, em que o hardware processa mais de uma instrução de cada vez, sem esperar que uma instrução termine antes de começar a próxima. Sobre esse assunto, analise os itens abaixo:
I. Numa máquina sem pipeline, os quatro estágios básicos de uma instrução compreendem: busca, decodificação, execução e atualização. Esses estágios não existem em uma máquina com pipeline.
II. O pipeline alivia o tempo de latência das instruções.
III. O pipeline melhora o throughput global.

Assinale a alternativa CORRETA.
 

Provas

Questão presente nas seguintes provas
921940 Ano: 2012
Disciplina: TI - Organização e Arquitetura dos Computadores
Banca: UPENET/IAUPE
Orgão: JUCEPE
Provas:
Analise os itens abaixo sobre o barramento USB (Universal Serial Bus).
I. Teoricamente, uma única porta USB pode ser usada para conectar até 127 periféricos (mouse, modems, teclados, scanners, câmeras, etc.).
II. A USB atende às especificações Plug and Play, e o fornecimento de energia dos dispositivos USB é realizado pelo próprio USB.
III. Os cabos USB possuem uma conexão de quatro fios. Um par trançado através dos quais trafegam os dados no formato serial. Outro par usado para a alimentação dos dispositivos ligados no barramento.

Assinale a alternativa CORRETA.

 

Provas

Questão presente nas seguintes provas
921939 Ano: 2012
Disciplina: Psicologia
Banca: UPENET/IAUPE
Orgão: JUCEPE
Provas:
Sobre a condição de sofrimento associada ao trabalho (Mendes, 2003), analise os itens abaixo:

I. A distância entre o que a organização espera e prescreve (tarefa) e o que o trabalhador realiza (atividade) impõe, muitas vezes, a utilização de estratégias de mediação, a fim de atender às demandas da empresa e manter sua empregabilidade e integridade física e psíquica.
II. A incidência dos casos de doenças ocupacionais, tais como depressão, estresse e Burnout, representa a expressão do sofrimento psíquico, vivenciado pelo trabalhador no contexto da produção de bens e serviço.
III. Para corresponder às expectativas da organização e não adoecer, os trabalhadores utilizam estratégias de enfrentamento contra o sofrimento, tais como conformismo, individualismo, negação de perigo, passividade etc. Quanto mais individualista a estratégia, mais eficaz, pois permite a imediata reorganização subjetiva da condição de sofrimento psíquico.

Está(ão) INCORRETO(S)
 

Provas

Questão presente nas seguintes provas
921938 Ano: 2012
Disciplina: Psicologia
Banca: UPENET/IAUPE
Orgão: JUCEPE
Provas:
Numa determinada empresa, tem-se um líder que não prima por avaliar o processo de trabalho, e, também, por ter uma participação limitada na apresentação de alternativas relacionadas ao desenvolvimento das atividades. A alternativa que melhor caracteriza esse tipo de liderança é
 

Provas

Questão presente nas seguintes provas
921937 Ano: 2012
Disciplina: Psicologia
Banca: UPENET/IAUPE
Orgão: JUCEPE
Provas:
Em relação ao processo de aprendizagem, assinale a alternativa INCORRETA.
 

Provas

Questão presente nas seguintes provas
921936 Ano: 2012
Disciplina: Psicologia
Banca: UPENET/IAUPE
Orgão: JUCEPE
Provas:
Sobre a linguagem não verbal e suas formas de expressão na entrevista, observe os itens abaixo:

I. Toque
II. Roupas
III. Territorialidade
IV. Proxêmica

Assinale a alternativa que identifica aqueles próprios à linguagem não verbal.
 

Provas

Questão presente nas seguintes provas
921935 Ano: 2012
Disciplina: Psicologia
Banca: UPENET/IAUPE
Orgão: JUCEPE
Provas:
Assinale a alternativa que está INCORRETAMENTE relacionada ao favorecimento da coesão grupal.
 

Provas

Questão presente nas seguintes provas
921934 Ano: 2012
Disciplina: Psicologia
Banca: UPENET/IAUPE
Orgão: JUCEPE
Provas:
Observe a seguinte descrição: “Intensas alterações da psicomotricidade, entre as quais: imobilidade quase completa, atividade motora excessiva, negativismo extremo, mutismo, estereotipias, ecolalia ou ecopraxia, obediência ou imitação automática. A imobilidade motora pode se apresentar como estupor ou ainda por catalepsia. Impõe-se aqui o diagnóstico diferencial cuidadoso, com um quadro induzido por condição médica geral (por exemplo, encefalopatia hepática), por drogas ou medicamentos e com casos graves de evolução esquizofrênica. As facilidades de diagnóstico e de tratamento desfavorecem a progressão a essas formas mais graves, que em passado recente (particularmente antes da introdução do eletrochoque) ameaçavam a vida dos pacientes" (adaptado de Porto, 2002). Assinale a alternativa que identifica, CORRETAMENTE, o transtorno clínico descrito.
 

Provas

Questão presente nas seguintes provas