Foram encontradas 960 questões.
O padrão de herança da fibrose cística é autossômico recessivo. Isso significa que
Provas
Ao cruzar dois indivíduos com o genótipo AaBbCc, a proporção da prole que apresentará o genótipo AAbbCc será
Provas
Considere a seguinte situação:
A capacidade de detectar a substância química feniltiocarbamida (PTC) é uma característica autossômica dominante. Um casal capaz de detectar a PTC possui um neto incapaz de detectar essa substância.
Com base no exposto, quais são os possíveis genótipos do pai da criança citada?
Provas
Considerando os padrões de herança genética, assinale a alternativa correta.
Provas
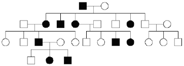
Considere o seguinte heredograma onde
é um indivíduo normal e
é um indivíduo afetado.

A doença representada é uma herança
Provas
Um erro no processo de splicing poderá produzir
Provas
A mioglobina é constituída por uma única cadeia polipetídica com 153 aminoácidos. Quantos nucleotídeos são necessários, no mRNA, para codificar essa cadeia?
Provas
O Ácido Desoxirribonucleico é formado por duas fitas que são constituídas por vários nucleotídeos. Sobre o DNA, assinale a alternativa correta.
Provas
São tipos de tecido conjuntivo todos os seguintes, EXCETO
Provas
Um homem cometeu um crime e teve seu perfil genético completo depositado em um banco nacional de informações. Anos mais tarde, seu filho cometeu um crime e teve seu perfil verificado nesse mesmo banco. Nessa situação, é correto afirmar que
Provas
Caderno Container