Em países tropicais, o uso de imagens de radar tem sido
considerado de importância cada vez maior no monitoramento
ambiental, como, por exemplo, no monitoramento de
desmatamento da Amazônia e da dinâmica espacial e temporal de
inundação no pantanal. Julgue o item a seguir, relativos a
sistemas imageadores de radar.
Os sensores de radar operam na faixa espectral de
micro-ondas, com comprimentos de onda da ordem de
centímetros.
Em países tropicais, o uso de imagens de radar tem sido considerado de importância cada vez maior no monitoramento ambiental, como, por exemplo, no monitoramento de desmatamento da Amazônia e da dinâmica espacial e temporal de inundação no pantanal. Julgue o item a seguir, relativos a sistemas imageadores de radar.
Sensores de radar obrigatoriamente operam com visada
vertical.
Dados geográficos que são armazenados em programas de
sistemas de informações geográficas na forma de pontos, linhas e
polígonos podem apresentar diversos erros de topologia, que
devem ser corrigidos. Julgue o item seguinte, acerca de
correção topológica. A regra de correção topológica “não deve ter duplicidades” é
aplicável somente para linhas e polígonos.
Na figura precedente, em que o eixo vertical representa a
resolução temporal em dias e o eixo horizontal a resolução
espacial em metros, os pontos A, B, C e D representam quatro
sistemas sensores que operam com diferentes resoluções
espaciais e temporais. Considerando essa figura, julgue o item a
seguir. O sensor OLI (Operational Land Imager) a bordo do satélite
Landsat-8 é tipicamente representado pela letra B.
O armazenamento de dados vetoriais em programas de sistema de informações geográficas (SIG) utiliza a arquitetura denominada arco-nó. Com base na figura apresentada, julgue o item que segue, acerca de conceitos básicos de SIG.
Nos modelos vetoriais e matriciais de dados de um SIG, os
elementos espaciais (como rios e modelos digitais de
terreno) são representados por pares de coordenadas
cartesianas XY e pelos seus atributos (dados não espaciais).
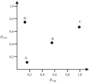
Na figura precedente, os pontos A, B, C e D representam quatro
alvos com diferentes valores de reflectância nas faixas espectrais
do vermelho (ρVM), representadas no eixo horizontal, e do
infravermelho próximo (ρIVP), representadas no eixo vertical.
Com base nessa figura, julgue o item seguinte.
A letra C, na figura, é a melhor representação de um alvo
com 100% de cobertura vegetal verde.
Dados geográficos que são armazenados em programas de sistemas de informações geográficas na forma de pontos, linhas e polígonos podem apresentar diversos erros de topologia, que devem ser corrigidos. Julgue o item seguinte, acerca de correção topológica.
A regra de correção topológica “não pode ter pseudo-nós” é
aplicável para pontos, linhas e polígonos.
Na figura precedente, os pontos A, B, C e D representam quatro
alvos com diferentes valores de reflectância nas faixas espectrais
do vermelho (ρVM), representadas no eixo horizontal, e do
infravermelho próximo (ρIVP), representadas no eixo vertical.
Com base nessa figura, julgue o item seguinte.
A letra A, na figura, é a melhor representação de um alvo
com 100% de solo exposto e rico em matéria orgânica.
Uma das etapas de elaboração de mapas temáticos é a da
estimativa de erro de mapeamento. A esse respeito, julgue o item que segue. Erro de omissão ocorre quando um polígono mapeado como
determinada classe temática não se acha presente no terreno.
Imagens multiespectrais são tipicamente obtidas por sensores que
operam com quatro a sete bandas espectrais nas faixas do visível
e do infravermelho. Com relação a sensores multiespectrais,
julgue o item subsequente. Landsat-8 e Sentinel-2A são exemplos de satélites que obtêm
imagens multiespectrais.