Magna Concursos

Foram encontradas 120 questões.

1902448 Ano: 2007
Disciplina: Matemática Financeira
Banca: CESPE / CEBRASPE
Orgão: IPC-ES
Provas:

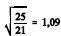
Considerando que, em determinado ano, a taxa de inflação tenha ficado em 25%, julgue os itens a seguir acerca de um investimento com capitalização anual realizado nesse ano.

Se a taxa real de juros que capitalizava o investimento tiver sido de 8% ao ano, então a taxa aparente de juros foi inferior a 30% ao ano.

 

Provas

Questão presente nas seguintes provas
1902447 Ano: 2007
Disciplina: Matemática Financeira
Banca: CESPE / CEBRASPE
Orgão: IPC-ES
Provas:

Considere que um capital de R$ 20.000,00 tenha sido aplicado em um fundo de investimentos, pelo período de um ano, com capitalização mensal e a determinada taxa de juros compostos. Considere, ainda, que, ao final dos 12 meses, o montante tenha sido de R$ 22.540,00. Nessa situação, tomando-se 1,01 como valor aproximado para enunciado 1902447-1 , julgue os itens que se seguem.

A taxa efetiva anual dessa aplicação foi superior a 12%.

 

Provas

Questão presente nas seguintes provas
1902446 Ano: 2007
Disciplina: Matemática Financeira
Banca: CESPE / CEBRASPE
Orgão: IPC-ES
Provas:

Considere que um capital de R$ 20.000,00 tenha sido aplicado em um fundo de investimentos, pelo período de um ano, com capitalização mensal e a determinada taxa de juros compostos. Considere, ainda, que, ao final dos 12 meses, o montante tenha sido de R$ 22.540,00. Nessa situação, tomando-se 1,01 como valor aproximado para enunciado 1902446-1 , julgue os itens que se seguem.

A taxa nominal anual dessa aplicação foi inferior a 11,5%.

 

Provas

Questão presente nas seguintes provas
1902445 Ano: 2007
Disciplina: Matemática Financeira
Banca: CESPE / CEBRASPE
Orgão: IPC-ES
Provas:

Considere a situação em que Renato tenha descontado uma promissória de R$ 2.000,00 que venceria em 2 meses, em um banco que pratica a taxa de desconto comercial simples (por fora) de 8% ao mês. Supondo que enunciado 1902445-1 , julgue os itens subseqüentes, relativos a essa situação.

O valor cobrado pelo banco para descontar o título corresponde à prática de uma taxa mensal de juros compostos superior a 8,8%.

 

Provas

Questão presente nas seguintes provas
1902444 Ano: 2007
Disciplina: Matemática Financeira
Banca: CESPE / CEBRASPE
Orgão: IPC-ES
Provas:

Considere a situação em que Renato tenha descontado uma promissória de R$ 2.000,00 que venceria em 2 meses, em um banco que pratica a taxa de desconto comercial simples (por fora) de 8% ao mês. Supondo que enunciado 1902444-1 , julgue os itens subseqüentes, relativos a essa situação.

Pelo título descontado, Renato recebeu menos de R$ 1.600,00.

 

Provas

Questão presente nas seguintes provas
1902443 Ano: 2007
Disciplina: Matemática Financeira
Banca: CESPE / CEBRASPE
Orgão: IPC-ES
Provas:
Considere que um capital de R$ 5.000,00 tenha sido aplicado em um fundo de investimentos por quatro meses. Considere, ainda, que o sistema de capitalização seja mensal, e os juros, compostos. Tomando 1,0074 como valor aproximado para enunciado 1902443-1 e 1,06 como valor aproximado para 1,0154 , e desconsiderando taxas e impostos, julgue os itens seguintes.

Se o fundo de investimentos pagou juros compostos de 1,5% ao mês, então o montante ao final do 4.º mês superou R$ 5.200,00.

 

Provas

Questão presente nas seguintes provas
1902442 Ano: 2007
Disciplina: Matemática Financeira
Banca: CESPE / CEBRASPE
Orgão: IPC-ES
Provas:
Considere que um capital de R$ 5.000,00 tenha sido aplicado em um fundo de investimentos por quatro meses. Considere, ainda, que o sistema de capitalização seja mensal, e os juros, compostos. Tomando 1,0074 como valor aproximado para enunciado 1902442-1 e 1,06 como valor aproximado para 1,0154 , e desconsiderando taxas e impostos, julgue os itens seguintes.

Se o montante obtido ao final dos 4 meses de aplicação tiver sido de R$ 5.150,00, então o montante obtido ao final do primeiro mês de aplicação era inferior a R$ 5.030,00.

 

Provas

Questão presente nas seguintes provas
1902441 Ano: 2007
Disciplina: Matemática Financeira
Banca: CESPE / CEBRASPE
Orgão: IPC-ES
Provas:

Um grupo de assistentes sociais foi contratado para levantar os dados necessários à elaboração de uma pesquisa socioeconômica. Sabe-se que 5 desses assistentes sociais, em 3 horas de trabalho, são capazes de coletar 45% dos dados necessários e que todos os membros do grupo trabalham com a mesma eficiência. Com base nessas informações, julgue os itens a seguir.

Para coletar todos os dados necessários à pesquisa, 8 membros do grupo precisariam trabalhar menos de 4 horas.

 

Provas

Questão presente nas seguintes provas
1902440 Ano: 2007
Disciplina: Matemática Financeira
Banca: CESPE / CEBRASPE
Orgão: IPC-ES
Provas:

Um grupo de assistentes sociais foi contratado para levantar os dados necessários à elaboração de uma pesquisa socioeconômica. Sabe-se que 5 desses assistentes sociais, em 3 horas de trabalho, são capazes de coletar 45% dos dados necessários e que todos os membros do grupo trabalham com a mesma eficiência. Com base nessas informações, julgue os itens a seguir.

Em 4 horas de trabalho, 7 membros do grupo são capazes de coletar mais de 80% dos dados necessários à pesquisa.

 

Provas

Questão presente nas seguintes provas
1902439 Ano: 2007
Disciplina: Matemática Financeira
Banca: CESPE / CEBRASPE
Orgão: IPC-ES
Provas:

Um grupo de assistentes sociais foi contratado para levantar os dados necessários à elaboração de uma pesquisa socioeconômica. Sabe-se que 5 desses assistentes sociais, em 3 horas de trabalho, são capazes de coletar 45% dos dados necessários e que todos os membros do grupo trabalham com a mesma eficiência. Com base nessas informações, julgue os itens a seguir.

A colaboração de 6 membros do grupo permitiria, em duas horas e meia de trabalho, a coleta de 45% dos dados necessários à pesquisa.

 

Provas

Questão presente nas seguintes provas