Magna Concursos

Foram encontradas 1.803 questões.

800990 Ano: 2014
Disciplina: Química
Banca: CESPE / CEBRASPE
Orgão: INPI

Enunciado 800990-1

A solanapirona D, mostrada na figura I, é um policetídeo fitotóxico isolado do fungo Altenaria solani. Em uma das sínteses totais da solanapirona D foi adotada a reação de Diels-Alder intramolecular para a construção da unidade bicíclica E da figura II. Para a construção do dieno D foi utilizada a reação de Suzuki entre os intermediários F e G, da figura III. Com base nessas informações, julgue os próximos itens.

A presença do grupo mostrado na figura abaixo na estrutura do intermediário D (figura II) diminui a velocidade da reação de Diels-Alder intramolecular quando comparada à mesma reação sofrida pelo intermediário H (figura III).

Enunciado 800990-2

 

Provas

Questão presente nas seguintes provas
800989 Ano: 2014
Disciplina: Química
Banca: CESPE / CEBRASPE
Orgão: INPI

Enunciado 800989-1

A solanapirona D, mostrada na figura I, é um policetídeo fitotóxico isolado do fungo Altenaria solani. Em uma das sínteses totais da solanapirona D foi adotada a reação de Diels-Alder intramolecular para a construção da unidade bicíclica E da figura II. Para a construção do dieno D foi utilizada a reação de Suzuki entre os intermediários F e G, da figura III. Com base nessas informações, julgue os próximos itens.

Enunciado 800989-2
 

Provas

Questão presente nas seguintes provas
800988 Ano: 2014
Disciplina: Química
Banca: CESPE / CEBRASPE
Orgão: INPI

Enunciado 800988-1

A solanapirona D, mostrada na figura I, é um policetídeo fitotóxico isolado do fungo Altenaria solani. Em uma das sínteses totais da solanapirona D foi adotada a reação de Diels-Alder intramolecular para a construção da unidade bicíclica E da figura II. Para a construção do dieno D foi utilizada a reação de Suzuki entre os intermediários F e G, da figura III. Com base nessas informações, julgue os próximos itens.

A reação de hidroboração de um alceno, seguida de hidrólise, leva à formação do intermediário F (figura III).
 

Provas

Questão presente nas seguintes provas
800987 Ano: 2014
Disciplina: Química
Banca: CESPE / CEBRASPE
Orgão: INPI

Enunciado 800987-1

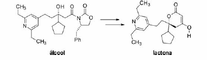
A figura acima ilustra a estratégia de síntese desenvolvida para o Filibuvir, em que o álcool é convertido na lactona, um intermediário avançado. Com relação a essas informações, julgue os itens que se seguem.

A reação entre o álcool e a estrutura química mostrada na figura abaixo sob catálise ácida e presença de água leva à formação de um cetal, o que permite a reação de uma base forte com o segundo sítio mais ácido do álcool.Enunciado 800987-2

 

Provas

Questão presente nas seguintes provas
800986 Ano: 2014
Disciplina: Química
Banca: CESPE / CEBRASPE
Orgão: INPI

Enunciado 800986-1

A figura acima ilustra a estratégia de síntese desenvolvida para o Filibuvir, em que o álcool é convertido na lactona, um intermediário avançado. Com relação a essas informações, julgue os itens que se seguem.

A reação, na presença de NaH em tetrahidrofurano, entre a molécula mostrada na figura abaixo e a lactona, leva à formação do Filibuvir.

Enunciado 800986-2

 

Provas

Questão presente nas seguintes provas
800985 Ano: 2014
Disciplina: Química
Banca: CESPE / CEBRASPE
Orgão: INPI

Enunciado 800985-1

A figura acima ilustra a estratégia de síntese desenvolvida para o Filibuvir, em que o álcool é convertido na lactona, um intermediário avançado. Com relação a essas informações, julgue os itens que se seguem.

Nas figuras abaixo, a reação entre a lactona e a molécula mostrada na figura I, na presença da estrutura química mostrada na figura II sob refluxo de ácido acético, forma o composto químico ilustrado na figura III.

Enunciado 800985-2

 

Provas

Questão presente nas seguintes provas
800984 Ano: 2014
Disciplina: Química
Banca: CESPE / CEBRASPE
Orgão: INPI

Enunciado 800984-1

A figura acima ilustra a estratégia de síntese desenvolvida para o Filibuvir, em que o álcool é convertido na lactona, um intermediário avançado. Com relação a essas informações, julgue os itens que se seguem.

As figuras I, II e III abaixo mostram que o sal de lítio da lactona é preparado pela reação entre a estrutura química mostrada na figura I e o produto da reação entre o álcool e o composto químico mostrado na figura II, em presença da molécula ilustrada na figura III.

Enunciado 800984-2

 

Provas

Questão presente nas seguintes provas
800983 Ano: 2014
Disciplina: Química
Banca: CESPE / CEBRASPE
Orgão: INPI

Enunciado 800983-1

Recentemente, uma empresa farmacêutica desenvolveu um novo inibidor da RNA polimerase do vírus causador da hepatite C. A estrutura desse medicamento, denominado Filibuvir, está ilustrada na figura I acima. A rota de síntese utilizada no processo industrial de preparação do Filibuvir se baseia na união dos compostos químicos A, B e C mostrados na figura II acima. A partir dessas informações e das figuras, julgue os itens de 109 a 113.

O alceno mostrado na figura A abaixo é o estereoisômero majoritário da reação entre o composto químico C da figura II e a estrutura química na figura B abaixo.

Enunciado 800983-2

 

Provas

Questão presente nas seguintes provas
800982 Ano: 2014
Disciplina: Química
Banca: CESPE / CEBRASPE
Orgão: INPI

Enunciado 800982-1

Recentemente, uma empresa farmacêutica desenvolveu um novo inibidor da RNA polimerase do vírus causador da hepatite C. A estrutura desse medicamento, denominado Filibuvir, está ilustrada na figura I acima. A rota de síntese utilizada no processo industrial de preparação do Filibuvir se baseia na união dos compostos químicos A, B e C mostrados na figura II acima. A partir dessas informações e das figuras, julgue os itens de 109 a 113.

A reação, catalisada por uma amina terciária, da estrutura química mostrada na figura A abaixo com o composto químico C da figura II leva à formação da molécula ilustrada na figura B abaixo.

Enunciado 800982-2

 

Provas

Questão presente nas seguintes provas
800981 Ano: 2014
Disciplina: Química
Banca: CESPE / CEBRASPE
Orgão: INPI

Enunciado 800981-1

Recentemente, uma empresa farmacêutica desenvolveu um novo inibidor da RNA polimerase do vírus causador da hepatite C. A estrutura desse medicamento, denominado Filibuvir, está ilustrada na figura I acima. A rota de síntese utilizada no processo industrial de preparação do Filibuvir se baseia na união dos compostos químicos A, B e C mostrados na figura II acima. A partir dessas informações e das figuras, julgue os itens de 109 a 113.

As substâncias químicas mostradas abaixo são insumos químicos utilizados na preparação do composto químico B mostrado na figura II.

Enunciado 800981-2

 

Provas

Questão presente nas seguintes provas