Foram encontradas 1.803 questões.

Uma indústria cosmética desenvolveu um produto com apelo de venda “dois em um” para limpeza e condicionamento dos cabelos. Entre os componentes utilizados, destacam-se as moléculas (1) e (2) acima representadas.
Em relação às estruturas químicas apresentadas e à situação descrita, julgue os itens que se seguem.
Provas
Provas
Provas
Provas
Provas

Na busca por um produto para proteção solar eficiente e de aceitação pela população, um pesquisador propôs o uso de um composto já utilizado como filtro solar (figura A) em associação com um derivado de um novo composto que ele acabara de isolar (figura B).
Com referência às estruturas químicas apresentadas nas figuras A e B e à sua atuação como filtro solar, julgue os seguintes itens.
Provas

Na busca por um produto para proteção solar eficiente e de aceitação pela população, um pesquisador propôs o uso de um composto já utilizado como filtro solar (figura A) em associação com um derivado de um novo composto que ele acabara de isolar (figura B).
Com referência às estruturas químicas apresentadas nas figuras A e B e à sua atuação como filtro solar, julgue os seguintes itens.
Provas

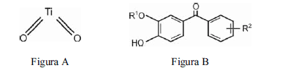
Na busca por um produto para proteção solar eficiente e de aceitação pela população, um pesquisador propôs o uso de um composto já utilizado como filtro solar (figura A) em associação com um derivado de um novo composto que ele acabara de isolar (figura B).
Com referência às estruturas químicas apresentadas nas figuras A e B e à sua atuação como filtro solar, julgue os seguintes itens.
Provas

Na busca por um produto para proteção solar eficiente e de aceitação pela população, um pesquisador propôs o uso de um composto já utilizado como filtro solar (figura A) em associação com um derivado de um novo composto que ele acabara de isolar (figura B).
Com referência às estruturas químicas apresentadas nas figuras A e B e à sua atuação como filtro solar, julgue os seguintes itens.
Provas

Na busca por um produto para proteção solar eficiente e de aceitação pela população, um pesquisador propôs o uso de um composto já utilizado como filtro solar (figura A) em associação com um derivado de um novo composto que ele acabara de isolar (figura B).
Com referência às estruturas químicas apresentadas nas figuras A e B e à sua atuação como filtro solar, julgue os seguintes itens.
Provas
Caderno Container