Foram encontradas 560 questões.
O dimensionamento de uma calha para recolhimento de águas pluviais deve levar em consideração os seguintes itens:
Provas
A flexibilidade para absorver as novas tecnologias ou sistemas (telecomunicações, dados, etc.) tem sido elemento determinante na valorização dos edifícios de escritórios. Segundo os especialistas em projetos de escritórios, gerentes de facilities e consultores imobiliários, a altura livre piso a teto em osso, considerando a face inferior do vigamento para viabilizar o uso de piso flutuante e rebaixo no teto para passagem de instalações e cabeamento, deve ser, pelo menos:
Provas
Um fazendeiro do Planalto Central adquiriu uma fazenda cuja casa-sede não dispunha de instalações de serviço (cozinha, despensa e lavanderia) no corpo da edificação. Para resolver o problema, contratou um arquiteto para que projetasse uma ampliação da casa-sede de modo a evitar, da melhor forma possível, a contaminação do ar interno dos demais ambientes com vapor de gordura do fogão e de umidade das roupas secando. Considere que as setas com a designação VD indicam a direção dos ventos dominantes (diurnos) e com a designação VS indicam a direção dos ventos secundários (noturnos) e o setor haxurado indica a posição do acréscimo da zona de serviço. A alternativa mais indicada para atender às necessidades do cliente é:
Provas
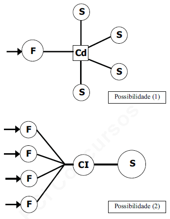
Em localidades onde não há rede de esgotos, os sumidouros podem ser utilizados como destino final dos efluentes, desde que o terreno possua boa capacidade de absorção. Analise as possibilidades (1) e (2) abaixo para a implantação do sistema de fossa e sumidouro:
Legenda: (F)-Fossa; (S)-Sumidouro; (Cd)-Caixa de distribuição; (CI)-Caixa de Inspeção

A implantação correta é:
Provas
Analise as possibilidades do sistema viário para a implantação de um loteamento. O relevo da gleba é um dos itens a ser considerado; diferentes opções trazem diferentes vantagens e desvantagens. Observe abaixo os eixos de ruas, desenhados em linhas tracejadas e representados pelos números de 1 a 5:

Aquele que produzirá a menor diferença de nível entre a via e a testada (linha da divisa frontal) de cada lote é:
Provas
Na implantação de um novo edifício com uso predominantemente diurno, em um local de clima quente e úmido, em latitude sul de 25º , com vento dominante SSE e secundário NNO, de modo a facilitar o controle da radiação direta do sol e maximizar a ventilação natural, a melhor configuração e orientação de planta é:
Provas
Ao planejar um novo distrito, a previsão do traçado viário deve levar em consideração a topografia da região, além de utilizar as legislações específicas para distribuição e parcelamento do solo, bem como o zoneamento das diversas atividades e usos, entre outras coisas. Observe a planta abaixo:

Uma zona de Preservação Permanente (PP) deve ser situada no seguinte setor:
Provas
O primeiro arranha-céu construído no Brasil com estrutura em concreto armado foi:
Provas
A geração da forma arquitetônica ainda é muito pouco estudada pelos arquitetos, embora exista um certo consenso em torno da prevalência do uso do processo analógico de projetação arquitetônica. Este processo pressupõe o emprego de conhecimento existente como ponto de partida para a criação de novos artefatos, e confere significado aos edifícios por meio de relações formais entre o novo e o existente. Segundo alguns autores, as formas arquitetônicas são geradas por quatro métodos – inovativo, normativo, tipológico e mimético. Indique a opção correta:
Provas
Um aspecto importante nos projetos recentes de interiores dos edifícios tem sido a “paisagem ou atmosfera visual”, que inclui tanto os ambientes internos como a vista exterior. Um projeto com qualidade visual deve considerar a qualidade e a eficiência da distribuição de iluminação natural/artificial em função da implantação do edifício, da configuração do edifício e do ambiente interno, da distribuição da iluminação natural, do controle da iluminação artificial, do tratamento cromático dos ambientes, da qualidade e obstrução da vista exterior. Dessa forma:
Provas
Caderno Container