Foram encontradas 863 questões.
Na figura abaixo estão ilustrados, através da curva de tensão versus deformação sob tração, o comportamento de alguns materiais poliméricos.

Figura extraída de: CANEVAROLO Jr, S. V. Técnicas de caracterização de polímeros. Artliber, 2004. p. 343.
Através da observação da figura foram feitas as seguintes observações:
I. A curva “E” é característica do comportamento de polímeros com altos módulos de elasticidade e tensão no escoamento, e uma elongação no ponto de ruptura de moderada a elevada.
II. A curva “C” é característica do comportamento de polímeros com elevados módulos elásticos, tensão no escoamento, elongação na ruptura, mas com mínima resistência à tração.
III. A curva “A” é característica do comportamento de polímeros com elevado módulo de elasticidade e baixa elongação na ruptura. Provocando com certeza o escoamento do material antes da ruptura.
Assinale a alternativa em que (todas) a(s) afirmativa(s) está(ão) INCORRETA(S) :
Provas
Os plastificantes externos quando adicionados aos materiais poliméricos exercem várias funções, mas também podem provocar efeitos nas propriedades dos polímeros. Assinale a alternativa que NÃO apresenta um efeito dos plastificantes.
Provas
Dentre os Programas de Segurança exigidos pelo Ministério do Trabalho e Emprego (MTE), encontram-se o PCMSO (Programa de Controle Médico de Saúde Ocupacional), o PPRA (Programa de Prevenção de Riscos Ambientais) e o PCMAT (Programa de Condições e Meio Ambiente de Trabalho na Industria da Construção), sendo o último específico para empregadores e instituições da indústria de construção civil que também admitam trabalhadores regidos pela CLT. Com relação a essa temática, é CORRETO afirmar que:
Provas
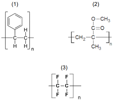
Assinale a alternativa que relaciona CORRETAMENTE a nomenclatura dos polímeros com as suas respectivas estruturas químicas apresentadas nas figuras abaixo:

Figuras extraídas de: CANEVAROLO Jr, S. V. Ciência dos Polímeros. Artliber, 2002. p.173
Provas
Todo espectrômetro IR possui, além do programa operacional do instrumento, um conjunto de programas que permite efetuar manipulação espectral. Assinale abaixo a alternativa INCORRETA:
Provas
- Características e comportamentos dos materiais
- Estrutura dos materiais
- Características atômicas e subatômicas dos materiais
Durante o processamento de polímeros por extrusão, observa-se um fenômeno conhecido como o Inchamento do Extrusado. Este fenômeno é caracterizado pelo aumento do diâmetro do extrusado em relação ao diâmetro da matriz. Assinale a alternativa que explica CORRETAMENTE o fenômeno.
Provas
Com relação à Comunicação do Acidente de Trabalho, é INCORRETO afirmar que:
Provas
Nos ensaios de tensão/deformação, estes componentes crescem linearmente com o tempo e a tensão de estiramento (tração) é medida em função da deformação. Observe as figuras “a” e “b” abaixo e assinale a alternativa CORRETA:

Figuras extraídas de: AKCELRUD, L. Fundamentos da ciência dos polímeros. Manole, 2007. p. 186.
Provas
A determinação da percentagem de cristalinidade de um polímero pode ser verificada pela equação: % de cristalinidade =
X 100. Onde ΔHfA é a variação de entalpia de fusão da amostra de percentagem de cristalinidade desconhecida e ΔHfA 100% cristalino é a variação de entalpia de fusão para a amostra 100% cristalina. Sobre a determinação da ΔHfA 100% cristalino, assinale a alternativa CORRETA:
Provas
Em ambientes industriais, com bastante frequência as cores servem para identificar cuidados, partes, equipamentos de segurança entre outros. Com relação à identificação das cores, considere as afirmativas:
I. A cor laranja é utilizada para indicar partes móveis e perigosas de máquinas e equipamentos, como engrenagens, polias e tampas de caixas protetoras.
II. A cor azul é utilizada para indicar a obrigatoriedade de uso de equipamentos de proteção.
III. A cor verde é utilizada para identificar equipamentos de primeiros socorros, macas e chuveiros de segurança.
IV. A cor branca é utilizada para demarcar áreas de corredores, locais de armazenagem e em torno de equipamentos de emergência.
V. A cor amarela é utilizada para indicar “cuidado” em escadas, vigas, bordas perigosas, partes salientes de estruturas, equipamentos de transporte e de manipulação de materiais.
Assinale a alternativa em que todas as afirmativas estão CORRETAS:
Provas
Caderno Container