Foram encontradas 50 questões.

O código implementa de uma estrutura de dados que estende uma classe concreta ArrayList para outra classe concreta Stack. A classe ArrayList possui alguns métodos como o add() (adiciona elementos na lista), o remove() (remove elementos da lista) e o clear() (que remove todos os elementos da lista).
Após executar o código, qual será o resultado?
Provas

Considere os princípios e padrões de projetos implementados no código.
I – Injeção de dependência
II – Inversão de controle
III – Injeção por construtor
Está CORRETO o que consta em:
Provas

Qual Padrão de Projeto foi implementado nesse código?
Provas
A seguir, é apresentado um código que implementa uma estrutura de dados utilizando a linguagem de programação Java. A classe LinkedList é uma implementação de fila convencional e utiliza o método add() para incluir um elemento na fila e o remove() para removê-lo. A classe Stack implementa uma pilha e utiliza o método push() para empilhar e o pop() para desempilhar.

Após a execução, qual é a saída do programa acima?
Provas
- Fundamentos de ProgramaçãoEstruturas de DadosEstrutura de Dados: ÁrvoreÁrvore AVL
- Fundamentos de ProgramaçãoEstruturas de DadosEstrutura de Dados: ÁrvoreÁrvore B ou B+ Tree
- Fundamentos de ProgramaçãoEstruturas de DadosEstrutura de Dados: ÁrvoreÁrvore Rubro-Negra
Considere as afirmações abaixo sobre estruturas de dados em árvore.
I – Uma árvore AVL (Adelson-Velskii e Landis) é uma árvore na qual as alturas das subárvores esquerda e direita de cada nó diferem no máximo em um elemento.
II – A árvore B é uma estrutura de dados que foi projetada para minimizar o número de acessos à memória secundária, sendo que cada nó associado pode ter mais de uma chave.
III – Uma Black-Red Tree é uma árvore B+ que possui um bit extra para armazenar a cor de cada nó.
Está CORRETO o que consta em:
Provas
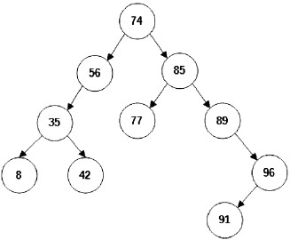
Dada a árvore de busca binária da imagem a seguir, insira os elementos 23, 12, 64, 93, 71 e 86 (nessa ordem).

Após a inserção, qual é a saída do percurso pós-ordem?
Provas
- UniãoExecutivoDecreto 1.171/1994: Código de Ética do Servidor Público Civil do Poder Executivo Federal
Conforme o Decreto nº 1.171/1994, que se refere ao Código de Ética Profissional do Servidor Público Civil do Poder Executivo Federal, é correto afirmar que são deveres fundamentais do servidor público:
Provas
Considere um banco de dados MariaDB versão 10.4.21, implementado no XAMPP versão 3.3.0, a partir do PHPMyAdmin com os seguintes registros em uma tabela chamada programs:

Ao aplicar o comando: SELECT SUM(id) as c from PROGRAMS GROUP BY type HAVING c >= 3, retornará como resultado:
Provas
O modelo de dados a seguir pretende atender as necessidades de um estacionamento de veículos, no qual há as marcas de veículos. O campo “Mar_Tipo” indica se é automóvel (a) ou motocicleta (m). Também há uma tabela com a movimentação de entrada e saída. O campo “Mov_TipoCliente” indica se o cliente é avulso (a) ou mensalista (m). Quando o cliente for mensalista, será informado o código do cliente que está na tabela de clientes; quando for avulso, não será necessário.

Considerando que o modelo acima seja implementado na versão 3.0.10 do banco de dados Firebird SQL, e que um desenvolvedor faça as seguintes afirmações:
I – O código SQL para selecionar o valor recebido pelo estacionamento dentro de um período (março/2022) é: SELECT SUM(Mov_ValorCobrado) FROM Movimentacao WHERE Movimentacao. Mov_DataHoraEntrada >= ‘2022-03-01 00:00’ and Movimentacao.Mov_DataHoraSaida <= ‘2022-03-31 23:59’.
II – O código SQL para selecionar todos os estacionamentos, constando a data de entrada, a data de saída, a placa do veículo e o nome do cliente, é: SELECT Movimentacao.Mov_DataHoraEntrada, Movimentacao.Mov_DataHoraSaida, Movimentacao.Mov_Placas, Clientes.Cli_Nome FROM Movimentacao, Clientes WHERE Movimentacao.Cli_Codigo = Clientes.Cli_Codigo.
III – O código SQL para selecionar todos os estacionamentos referentes a motocicletas, constando placas, modelo e valor cobrado, é: SELECT Movimentacao.Mov_Placas, Modelos.Mod_Descricao, Movimentacao.Mov_ValorCobrado FROM Movimentacao, Modelos, Marcas WHERE Movimentacao. Mod_Codigo = Modelos.Mod_Codigo and Movimentacao.Mar_Codigo = Marcas.Mar_Codigo and Marcas.Mar_Tipo = ‘m’.
Assinale a alternativa CORRETA.
Provas
Um desenvolvedor está desenvolvendo um sistema web utilizando PHP e MySQL para avaliar os serviços prestados por uma hamburgueria. O banco de dados é chamado de “DBAvalia” e é composto por uma tabela chamada “avaliacao”, com as colunas “id, servico e nota”. Para os testes do sistema, o desenvolvedor fez registros hipotéticos para 3 serviços: atendimento, comida e ambiente, com a devida avaliação, sendo atribuída uma nota. Assinale a alternativa que representa a forma correta para o desenvolvedor fazer uma consulta SQL para contar quantos registros foram realizados para o serviço “ambiente”.
Provas
Caderno Container