Foram encontradas 840 questões.
Os raios X característicos são emiti dos quando um elétron de uma camada externa preenche uma vacância de uma camada interna.

O espectro deste tipo de radiação é conhecido como
Provas
Sobre os fatores que afetam a emissão de raios X, avalie as afirmações a seguir.
I - A alteração no produto corrente-tempo resulta em uma variação proporcional da amplitude do espectro de emissão dos raios X em todo o intervalo de energia.
II - O tipo de retificação de onda e de geração de alta tensão interfere na energia dos elétrons.
III - A filtração adicional permite que fótons de baixa energia cheguem até o alvo.
IV - Os raios X de energias baixas têm suscetibilidade de serem absorvidos pelo alvo.
V - Os elétrons com baixa energia tendem a produzir calor e raios X de alta energia.
Está correto apenas o que se afirma em
Provas
A respeito dos equipamentos de raios X, preencha corretamente as lacunas do texto a seguir.
Os equipamentos de raios X são compostos por três partes principais: , e . Em alguns casos, como nos equipamentos de odontologia, elas estão dispostas compactamente. Entretanto, na maioria dos casos, encontram-se separadas por uma barreira de proteção.
A sequência que preenche corretamente as lacunas do texto é
Provas
A acidez de compostos orgânicos pode ser prevista com base na análise estrutural das substâncias. Observe a estrutura de dois isômeros constitucionais: ácido salicílico e o ácido para-hidróxibenzoico. Era de se esperar que essas duas substâncias apresentassem o mesmo pKa, no entanto, eles são diferentes, conforme apresentado na figura a seguir:

Ácido salicílico - pKa= 3,0

Ácido para-hidróxibenzoico - pKa=4,6
Essa diferença no valor do pKa ocorre porque
Provas
A cinética da reação aA + bB + cC !$ \rightarrow !$ dD + eE foi estudada verificando-se a influência das concentrações dos reagentes sobre a velocidade da reação.
Analise os resultados obtidos na tabela a seguir.
| Experiência | Concentração (mol/L) | Velocidade (mol.L-1s-1) | ||
| [A] | [B] | [C] | ||
| 1 | a | b | c | v1 |
| 2 | 2a | b | c | v2 = 2 v1 |
| 3 | 2a | 2b | 2c | v3 = 2 v1 |
| 4 | a | b | 2c | v4 = v1/2 |
Os expoentes para as espécies A, B e C na lei de velocidade v = k[A]x[B]y[C]z são, respectivamente,
Provas
A estabilidade de carbocátions é um fator essencial para predizer o mecanismo de uma reação de substituição nucleofílica. Considere os carbocátions listados a seguir:

A ordem crescente de estabilidade desses carbocátions é
Provas
Amostras individuais com os cátions metálicos de Ca2+, Al3+, Fe3+ e Ti4+ são tratadas com amônia para formação de precipitado. Na sequência, é feita a adição de NaOH nas mesmas amostras, observando-se a solubilização dos sólidos de alumínio e de titânio.
A partir desses resultados, é correto afirmar que a adição de
Provas
Em um experimento para se determinar a pureza de uma peça de Mg impuro, uma amostra de 0,4 g foi submetida à reação com excesso de HCl à 27 °C. O gás produzido foi gerado dentro de um recipiente com água e coletado no interior de uma proveta embocada no líquido. Após a reação, o nível do líquido dentro da proveta foi igualado ao nível da água no recipiente e mediu-se o volume de 82 mL para o gás coletado.
Considere a pressão de vapor da água na temperatura do experimento igual a 36 mbar, a massa molar do Mg igual a 24 g/mol, a pressão atmosférica igual a 1,036 bar e que não houve escapamento do gás.
Qual é a pureza, em %, da amostra?
Provas
Os polímeros sintéticos são macromoléculas que apresentam várias aplicações e são úteis para a confecção de materiais de interesse. O Kodel® é um exemplo desse tipo de material e a sua estrutura está representada a seguir.

Kodel®
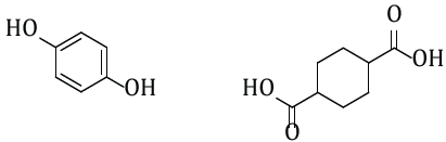
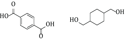
Os monômeros utilizados na síntese do Kodel® são
Provas
A energia de ionização é a energia mínima necessária para retirar um elétron de um átomo na fase gasosa.
As primeiras energias de ionização em kJ/mol de elementos químicos do terceiro período são mostradas a seguir.
| Na 496 | Mg 737 | Al 577 | Si 786 | P 1012 | S 999 | Cl 1255 | Ar 1521 |
A partir da análise dos dados, é possível afirmar que a primeira energia de ionização do
Provas
Caderno Container